偏離係數
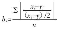
偏離係數表征了2個變數之間的平均偏離值,可以用來衡量2個變數總體偏離45°線的程度,當偏離係數越小,則表明二者偏差越小。
偏離係數計算公式
偏離係數表征了2個變數之間的平均偏離值,可以用來衡量2個變數總體偏離45°線的程度,當偏離係數越小,則表明二者偏差越小。 偏離係數計算公式xi,yi分別為實測值和計算值;n 為資料的個數。
偏離係數表征了2個變數之間的平均偏離值,可以用來衡量2個變數總體偏離45°線的程度,當偏離係數越小,則表明二者偏差越小。
偏離係數計算公式β係數也稱為貝塔係數(Beta coefficient),是一種風險指數,用來衡量個別股票或股票基金相對於整個股市的價格波動情況。β係數是一種評估證券系...
投資分析方法概述 基本含義 計算方式 一般用途 影響因素對於航空發動機尾噴管,推力係數定義為實際總推力與理想總推力(一維等熵完全膨脹流動時的總推力)之比;對於火箭發動機尾噴管,推力係數定義為單位喉部面積、單位...
發動機推力 航空燃氣渦輪發動機尾噴管推力係數 火箭發動機尾噴管推力係數可決係數,亦稱測定係數、決定係數、可決指數。與復相關係數類似的,表示一個隨機變數與多個隨機變數關係的數字特徵,用來反映回歸模式說明因變數變化可靠程度的一...
總變異的分割 樣本可決係數 相關係數與可決係數的關係 總體可決係數維里係數(Virial coefficient)是熱力學狀態方程按密度展開(稱為維里展開)各項的係數。維里係數與分子間勢能函式相關,體現多體相互作用對理...
由來 推導 表示離子活度係數,即活度係數,又稱活度因子(英語:Activity factor),是熱力學中的一個係數,反映的是真實溶液中某組分i的行為偏離理想溶液的程度...
定義 平衡常數修正 測量和計算 相關條目信度(Reliability)也就是可靠性,它指採用同樣的方法對同一對象重複測量時所得結果的一致性程度。信度指標通常以相關係數表示,即用同一被試樣本所得...
信度的概念 信度分析 信度係數定義 估計方法 套用在數理金融領域中,風險敏感係數表示是度量衍生品價格敏感性的係數,例如期權會受到標的資產價格變化的影響。之所以取名為金融希臘字母是由於大部分常見的敏感性系...
係數使用 一階希臘字母 二階希臘字母 三階希臘字母 多資產期權天然氣偏差係數又稱壓縮因子,是指在相同溫度、壓力下,真實氣體所占體積與相同量理想氣體所占體積的比值。
簡介 理想氣體和真實氣體狀態方程 偏差係數的概念 偏差係數的確定扇入係數NI:門電路允許的輸入端的數目,稱為該門電路的扇入係數。
數字邏輯電路概念 軟體工程概念