介紹
在多元回歸分析中,在消除其他變數影響的條件下,所計算的某兩變數之間的相關係數。在多元相關分析中,簡單相關係數可能不能夠真實的反映出變數X和Y之間的相關性,因為變數之間的關係很複雜,它們可能受到不止一個變數的影響。這個時候偏相關係數是一個更好的選擇 。
假設我們需要計算X和Y之間的相關性,Z代表其他所有的變數,X和Y的偏相關係數可以認為是X和Z線性回歸得到的殘差Rx與Y和Z線性回歸得到的殘差Ry之間的簡單相關係數,即pearson相關係數。
計算方法
偏相關係數的計算可以有下面的三種方法(詳細的計算方法見參考文章)
1 根據上面的說法,從線性回歸的角度計算變數間的偏相關係數,但是這樣做很麻煩。
2 疊代法,可以認為簡單相關係數為0階偏相關係數,任何n階偏相關都可以通過3個(n-1)階偏相關係數計算出來。
3 相關矩陣求逆法,即首先計算出所有變數的相關性矩陣,然後求它的逆矩陣。這樣可以求出任何兩兩變數之間的偏相關係數。
偏相關係數的檢驗可以有兩種方法。一種是t-test,另外一種fisher 轉化法。
利用偏相關係數進行變數間淨相關分析通常完成兩大步:
第一:計算樣本的偏相關係數。
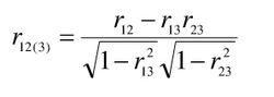
利用樣本數據計算偏相關係數,反應了兩個變數間淨相關的強弱程度。在分析變數x1和x2之間的淨相關時,當控制了變數x3的線性作用後,x1和x2之間的一階偏相關係數定義為 :
一階偏相關係數第二:對樣本來自的兩個總體是否存在顯著的淨相關進行推斷:
1)提出原假設,即兩總體的偏相關係數與零無顯著差異。
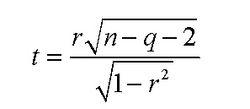
2)選擇檢驗統計量。偏相關分析的檢驗統計量為t統計量,它的數學定義為:
t統計量式中,r為偏相關係數,n為樣本數,q為階數。統計量服從n-q-2個自由度的t分布。
3)計算檢驗統計量的觀測值和對應的機率p-值。
4)決策。如果檢驗統計量的機率p-值小於給定的顯著性水平α,則應拒絕原假設,反之,則不能拒絕原假設。
關係
在多元回歸中,應注意簡單相關係數只是兩變數局部的相關性質,而並非整體的性質。在多元回歸中並不看重簡單相關係數,而是看重偏相關係數。根據偏相關係數,可以判斷自變數對因變數的影響程度;對那些對因變數影響較小的自變數,則可以捨去不顧。

