溶液縮聚
單體、催化劑在溶劑中進行的縮聚反應稱為溶液縮聚。根據反應溫度,可分為高溫溶液縮聚和低溫溶液縮聚,反應溫度在100 ℃以下的稱為低溫溶液縮聚。由於反應溫度低,一般要求單體有較高的反應活性。從相態上看,如產物溶於溶劑,為真正的均相反應;如不溶於溶劑,產物在聚合過程中由體系自動析出,則是非均相過程。
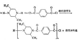
溶液縮聚中溶劑的作用十分重要,一是有利於熱交換,避免了局部過熱現象,比熔融縮聚反應緩和、平穩。二是對於平衡反應,溶劑的存在有利於除去小分子,不需真空系統,另外對於與溶劑不互溶的小分子,可以將其有效地排除在縮聚反應體系之外。如聚醯胺副產物為水,可選用與水親和性小的溶劑,當小分子與溶劑可形成共沸物時,可以很方便地將其夾帶出體系。如在聚酯反應中,溶劑甲苯可與副產物水形成水含量20%、沸點為81.4 ℃的共沸物,這種反應有時稱為恆沸縮聚:而當小分子沸點較低時,可選用高沸點溶劑,使小分子在反應過程中不斷蒸發:三是對於不平衡縮聚反應,溶劑有時可起小分子接受體的作用,阻止小分子參與的副反應發生。如二元胺和二元醯氯的反應,選用鹼性強的二甲基乙醯胺或吡啶為溶劑,可與副產物HCI很好地結合。阻止HCI與氨基生成非活性產物。四是起縮合劑作用,如合成聚苯並咪唑時,多聚磷酸既是溶劑又是縮合劑。
低溫溶液縮聚溶劑選擇
與溶液聚合相同,溶液縮聚時溶劑的選擇很重要,需注意以下幾方面:一是溶解性,儘可能地使體系為均相反應。例如對二苯甲烷.4,4一二異氰酸酯與乙二醇的溶液縮聚反應,如以與聚合物不溶的二甲苯或氯苯為溶劑,聚合物會過早地析出低聚物;如用與單體和聚合物都可溶的二甲亞碸為溶劑,產物為高相對分子質量聚合物。二是極性,由於縮聚反應單體的極性較大,多數情況下增加溶劑極性有利於提高反應速率,增加產物相對分子質量。三是溶劑化作用,如溶劑與產物生成穩定的溶劑化產物,會使反應活化能升高,降低反應速率;如與離子型中間體形成穩定溶劑化產物,則可降低反應活化能,提高反應速率。四是副反應,溶劑的引入往往會產生一些副反應,在選擇溶劑時要格外注意。
溶液縮聚的不足在於溶劑的回收增加了成本,使工藝控制複雜,且存在三廢問題。溶液縮聚在工業上套用規模僅次於熔融縮聚,許多性能優良的工程塑膠都是採用溶液縮聚法合成的,如聚芳醯亞胺、聚碸、聚苯醚等。對於一些直接使用溶液的產物,如塗料等也採用溶液縮聚。
不平衡縮聚反應
在很多化學反應中,逆反應的速率很小或等於0,反應過程可進行到底,作用物全部轉化成產物。不平衡縮聚就屬於這類反應,不存在逆反應,沒有平衡問題。與平衡縮聚相比,其基本特點是在反應中縮聚物不被低分子產物降解,不發生任何形式的交換反應。
在縮聚反應中,可以創造如下條件,使反應具有不平衡反應的特徵。
1、採用高反應活性單體。如含有二醯氯,二異氰酸酯、二氧化三碳、自由基等高反應活性基團的單體.它們參與反應時,具有聚合速率快,反應溫度低,產物分子量高等特點。有這些高反應活性基團所參與的反應一般為不平衡縮聚。
2、降低反應溫度。在低溫下逆反應的速率常數很小。只有在單體官能團的活性較高時,或存在其他助劑時,才有可能在低溫下進行反應。
3、使參與反應的一種原料不進入聚合物的結構中。如在自由基縮聚中,對—二異丙苯與過氧化物反應,後者提供自由基,但不參與縮聚物的組成。因此,往往使逆反應失去條件。所以具有這樣因素的縮聚反應,具有不平衡反應的特徵。
4、在反應中形成結構穩定的鍵合基團。如聯氨與二元羧酸反應,生成聚氨三唑。三唑環對酸、鹼有很大穩定性。所以形成穩定的化學結構的反應,多為不平衡反應。
近年來對不平衡縮聚反應的研究,有了迅速增長。藉助於不平衡縮聚、製備了聚醯胺,聚酯、聚氨酯、聚脲、聚醚、聚烴以及許多雜環聚合物等。
低溫溶液縮聚套用
低溫溶液縮聚也是一種聚合反應的實施方法,由於反應溫度低,單體活性大,副產物能及時除去,所以用這種方法進行縮聚反應時,不管是那類反應,一般都屬不可逆反應,所以把它做為不平衡縮聚的一種反應類型。
近年來使用低溫溶液縮聚合成了一系列新型耐高溫聚合物。如由間—苯二甲酸和間—苯二胺合成的全芳環聚醯胺。在高溫下(250℃)仍能保持其優良的物理機械性能、耐火焰、耐輻射。低溫溶液縮聚除採用高活性單體外,在反應體系中常常用叔胺,仲胺等活化劑,有效地吸收反應過程中產生的HCl,或其他小分子副產物,如用對—苯二甲醯氯與二元酚製備聚芳酯時,使用三乙胺吸收反應中生成的HCl。
反應方程式在此反應中,原料和叔胺的純度、原料的配比、溶液的濃度等都影響產物的分子量。

