定理介紹
定理1 以⊙O(R)的半徑OA為直徑作半圓,三等分OA於B、C,自B、C引OA的垂線交所作半圓於D、E(圖1),則以O為圓心,各過D和E點的兩圓周必三等分原圓⊙O(R)的面積 。
圖1定理2 甲乙兩多邊形彼此相似,假設甲形外切於某圓,乙形和某圓等周,則某圓的面積是甲乙兩形面積的比例中項。
定理1和定理2均稱 伽利略定理,伽利略(Galilleo,1564-1642年)是十七世紀初葉義大利著名的物理學家和天文學家 。
定理的證明
定理1的證明:
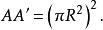
證明 連結OD和OE,則有
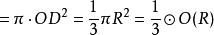
伽利略定理所以 ⊙O(OD)的面積
伽利略定理的面積,
⊙O(OE)的面積
伽利略定理的面積,
因此所作兩圓⊙O(OD)和⊙O(OE)恰好三等分原圓⊙O(R)的面積 。
定理2的證明:
證明 設甲形外切於⊙O(R),其半周為p,則其面積為:
伽利略定理乙形既和甲形相似(已知),故也有內切圓⊙O'(R'。又乙形和⊙O(R)等周(已知),可見乙形的半周為:
伽利略定理從而乙形的面積為:
伽利略定理於是
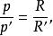
伽利略定理另一方面,由於甲乙兩形相似,有
伽利略定理那么
伽利略定理所以
伽利略定理則定理得證 。

