簡介
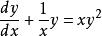
形如y'+P(x)=Q(x)y^n的微分方程,稱為伯努利微分方程,其中n≠0並且n≠1 ,其中P(x),Q(x)為已知函式,因為當n=0,1時該方程是線性微分方程。它以雅各布·伯努利(Jacob Bernoulli)命名,他在1695年進行了研究。伯努利方程是特殊的,因為它們是具有已知精確解的非線性微分方程。 伯努利方程的著名特殊情況是邏輯微分方程。
轉換為線性微分方程
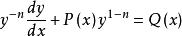
伯努利微分方程伯努利微分方程可以把變數替換成為線性微分方程,將伯努利微分方程兩端除以,得
伯努利微分方程
伯努利微分方程
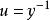
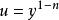
伯努利微分方程作變數替換,則。代入上式,有:
伯努利微分方程
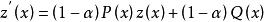
伯努利微分方程這是以z為未知函式的一階線性微分方程,由此方程解出z,再由可得伯努利微分方程的解。
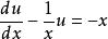
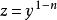
伯努利微分方程注意,對於n=0和n = 1,伯努利方程是線性的。 對於n≠0和n≠1,替換 將任何伯努利方程調整到線性微分方程。 例如:
讓我們考慮以下微分方程:
伯努利微分方程以伯努利形式(用n = 2))重寫它:
伯努利微分方程
伯努利微分方程現在,用 我們得到:
伯努利微分方程,它是一個線性微分方程。
求解
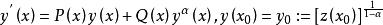
伯努利微分方程作為線性微分方程的解:
伯努利微分方程那么我們有
伯努利微分方程是下面方程的解
伯努利微分方程
伯努利微分方程對於每個這樣的微分方程,都有>0,我們有y恆等於0。

