定義
一個非常簡單的試驗是只有兩個可能結果的試驗,比如正面或反面,成功或失敗,有缺陷或沒有缺陷,病人康復或未康復。為方便起見,記這兩個可能的結果為0和1,下面的定義就是建立在這類試驗基礎之上的。
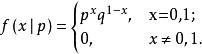
如果隨機變數X只取0和1兩個值,並且相應的機率為:
伯努利分布則稱隨機變數X服從參數為p的伯努利分布,若令q=1一p,則X的機率函式可寫
為:
伯努利分布
伯努利分布
伯努利分布要證明該機率函式 確實是公式所定義的伯努利分布,只要注意到 ,就很容易得證。
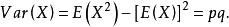
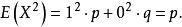
如果X服從參數為p的伯努利分布,則:
伯努利分布
伯努利分布並且,
伯努利分布進而,X的矩母函式為:
伯努利分布伯努利試驗
伯努利分布
伯努利分布
伯努利分布
伯努利分布
伯努利分布如果無窮隨機變數序列 是獨立同分布(i.i.d.)的,而且每個隨機變數 都服從參數為p的伯努利分布,那么隨機變數 就形成參數為p的一系列伯努利試驗。同樣,如果n個隨機變數 獨立同分布,並且都服從參數為p的伯努利分布,則隨機變數 形成參數為p的n重伯努利試驗 。
伯努利分布
伯努利分布
伯努利分布
伯努利分布
伯努利分布
伯努利分布
伯努利分布
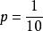
伯努利分布下面舉幾個例子加以說明,假定重複拋擲一枚均勻硬幣,如果在第i次拋擲中出現正面,令 ;如果出現反面,令 ,那么,隨機變數 就形成參數為 的一系列伯努利試驗,同樣,假定由一個特定機器生產的零件中10%是有缺陷的,隨機抽取n個進行觀測,如果第i個零件有缺陷,令 ;如果沒有缺陷,令 ,那么,隨機變數 就形成參數為 的n重伯努利試驗 。

