簡介
中文名稱
伊文思藍
CAS NO. 314-13-6
中文別名 偶氮藍;
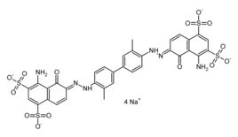
6,6'-[[3,3'-二甲基(1,1'-二苯基)-4,4'-二基]雙(偶氮基)]雙(4-氨基-5-羥基-1,3-萘二磺酸)四鈉鹽
英文名稱 Direct Blue 53伊文思藍
英文別名 C.I. 23860; Evans Blue; Tetrasodium 6,6'-((3,3'-dimethyl-(1,1'-biphenyl-4,4'diyl)bis(azo)bis(4-amino-5-hydroxy-1,3-naphthalenedisulphonate)
EINECS 206-242-5
分子式 C34H24N6NA4O14S4
分子量 960.80
高度易燃。
毒性
可能具有致癌性。可能有對胎兒造成毒性的危險。
急性毒性:大鼠(腹腔)850mg/kg
套用
伊文思藍屬於一種常用的偶氮染料製劑,因其分子量大小與血漿白蛋白相近,而且在血液中與血漿白蛋白有很高的親和力,因此在神經科學研究中常被用於示蹤劑觀察血腦屏障(BBB)的完整性
,也用於測定血容量。
測定血腦屏障完整性
由於正常狀態下血漿白蛋白無法透過血腦屏障,所以染色時,如神經系統是完整的,與血漿白蛋白結合的依文思藍無法使其著色。相反如果神經系統血腦屏障被破壞,依文思藍就可以進入神經系統並使其著色。在螢光波長470與540 nm 各有一強峰,680 nm處有一弱峰
。其在組織中的含量常使用化學透析法和比色法進行檢測。
染色區分活細胞
有活性的細胞因有外排功能而無法被伊文思藍染色,因此可以通過此方法在顯微鏡下區分死細胞與活細胞,缺點是難以區分死亡與壞死。
測定血容量
作臨床藥物用於測定血漿和血容量,也可作動脈插管(化療)的定位用。
用量用法:每次以25mg用1~2ml等滲鹽水稀釋後空腹時靜注,9分鐘後抽血測定。
注意事項
使用時注意遠離火源。穿戴適當的防護服和手套。若發生事故或感不適,立即就醫(可能的話,出示其標籤)。避免接觸,使用前須獲得特別指示說明。

