物質內容
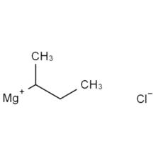
中文名稱: 仲丁基氯化鎂
英文名稱: sec-Butylmagnesiumchloridesolution
仲丁基氯化鎂仲丁基氯化鎂
CAS: 15366-08-2
MDL: MFCD00000467
分子式: C4H9ClMg;CH3CH2CH(CH3)MgCl
分子量: 116.87
SMILES: CCC([Mg+])C.[Cl-]
屬性
沸點 66°C
密度 0.83g/mLat20°C
閃點 -21°C
儲存條件 Flammables+water-Freezer(-20°C)earea
危險屬性
危險品標誌 F+,C
危險類別碼 12-14/15-22-34-66-67
安全說明 16-26-36/37/39-43-45-7/8
危險品運輸編號 UN33994.3/PG1
WGKGermany 1
F 1-3-10
貯存:常溫充氬保存

