電機簡介
直流電機分為自勵和他勵,他勵電機是指電機的勵磁線圈和電樞繞組是分開的,勵磁電流單獨提供,與電樞電流無關。
控制方便,容易實現調速,控制器控制正反轉不需要安裝切換接觸器 一般被廣泛使用在電動叉車,電動汽車,電動觀光車,電動牽引車。
R2=0時電動及回饋制動狀態下的機械特性
問題
1、改變他勵直流電動機機械特性有哪些方法?
2、他勵直流電動機在什麼情況下,從電動機運行狀態進入回饋制動狀態?他勵直流電動機回饋制動時,能量傳遞關係,電動勢平衡方程式及機械特性又是什麼情況?
重點
掌握直流電機的電動和回饋制動特性
難點
調節直流電動機M的額定值(三個條件互相制約,同時滿足。)
1、額定電流IN
2、額定勵磁電流IfN
3、額定轉速nN
了解和測定他勵直流電動機在R2=0時電動及回饋制動狀態下的機械特性
直流他勵電動機機械特性測定的實驗原理圖
直流電動機
三相異步電動機設備中常用的電動機主要分兩類:一類是驅動電機,一類是控制電機。驅動電機是設備的主要動力源,包括各種類型的交、直流電動機。交流異步電動機較其它類型的電動機結構簡單,價格便宜,運行可靠,維護方便,某些設備或者輔助用電動機在不要求調速時可採用該類型電動機;如果要求調節轉速,則可選用直流電動機、整流於式電動機或電磁調速異步電動機(滑差電動機)。控制電機又稱特種電動機,常見的有步進電動機、伺服電動機、測速發電機等,這些電機不是作為動力來使用的,它的主要任務是轉換和傳遞控制信號,能量的傳遞是次要的。
直流電動機是將直流電能轉換為機械能的旋轉機械。它與交流電動機(如三相異步電動機)相比,雖然因結構比較複雜、生產成本較高、故障較多等不利因素,目前已不如交流電動機套用普遍,但由於它具有優良的調速性能和較大的起動轉矩,仍然得到廣泛套用 。
結構
磁極直流電動機主要由磁極、電樞、換向器三部分組成。
(1) 磁極。
磁極是電動機中產生磁場的裝置,它分成極心和極掌兩部分。極心上放置勵磁繞組,極掌的作用是使電動機的磁感應強度的分布最為合適,並用來擋住勵磁繞組;磁極是用鋼片疊成的,固定在機座(即電機外完)上;機座也是磁路的一部分。機座常用鑄鋼製成。
(2) 電樞。
電樞是電動機中產生感應電動勢
的部分。直流電動機的電樞是旋轉的,電樞鐵心呈圓柱狀,由矽鋼片疊成,表面沖有槽,槽中放有電樞繞組。
(3) 換向器(整流子)。
換向器和電樞換向器是直流電動機的一種 特殊裝置,主要由許多換向片組成,每兩個相鄰的換向片中間是絕緣片。在換向器的表面用彈簧壓著固定的電刷,使轉動的電樞繞組得以同外電路聯接。換向器是直流電動機的結構特徵,易於識別。
工作原理
他勵電機圖2-5是直流電動機的示意圖。若在A、B之間外加一個直流電壓,A按電源正極,B按負極,則線圈中有電流流過。當線圈處於圖2-5所示位置時,有效邊曲在N極下,cd在S極上,兩邊中的電流方向為a-b,c-d。由安培定律可知,ab邊和cd邊所受的電磁力為: F=BLI,式中,I為導線中的電流,單位為安(A)。根據左手定則知,兩個力的方向相反,形成電磁轉矩,驅使線圈逆時針方向旋轉。當線圈轉過180°時,cd邊處N極下,ab邊處於S極上。由於換向器的作用,使兩有效邊中電流的方向與原來相反,變為d c、b a,這就使得兩極面下的有效邊中電流的方面保持不變,因而其受力方向,電磁轉矩方向都不變 。
由此可見,正是由於直流電動機採用了換向器結構,使電摳線圈中受到的電磁轉矩保持不變,在這個電磁轉矩作用下使電樞按逆時針方向旋轉。這時電動機可作為原動機帶動生產機械旋轉,即由電動機向機械負載輸出機械功率。
基本公式
(1)電磁轉矩
當存在磁場而且電樞繞組中有電流時,電樞電流和磁場相互作用而產生電磁力矩,電磁力矩方向和電樞轉動方向一致,公式(1):
他勵電機
他勵電機
他勵電機
他勵電機
他勵電機
他勵電機其中 是轉矩常數(對於已製成的電動機是固定的), 為勵磁磁通量, 為通過電樞繞組的電流。電磁轉矩的方向與轉速一致,其大小隻決定於 和 ,而與轉速無關。
磁感線(2)感應電動勢
當轉子(電樞)轉動起來之後,電樞繞組必然會切割磁感線,導線中必然會產生一個電動勢E。公式(2):
他勵電機
他勵電機
他勵電機其中 為電勢常數(對於已製成的電動機是固定的),n為轉速。感應電動勢的方向與電樞電流方向相反,所以耍向電樞中輸入電流,必須要有 。
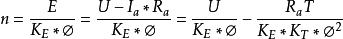
(3)電樞電壓平衡公式
公式(3):
他勵電機其中U為電樞繞組端電壓,Ia為電樞繞組端電流,Ra為電樞迴路電阻。
根據三個表達式可得:電動機轉速
他勵電機他勵控制理論
起動
當電動機從靜止到運動的過程中,電樞繞組不切割磁感線,所以感應電動勢E=0,則根據公式(3),U=0+IaRa因為Ra是固定的,所以一開始會使得電樞中電流非常大,會達到額定電流的10—20倍,因此不許加全部電壓直接起動。他勵電動機起動時,必須設法限制起動電流。起動的方法一般採用下列兩種:
他勵電機(1)電樞迴路中外串電阻起動:
他勵電機如圖2-10所示,通過電摳的電流 ,Rst為可變電阻,開始時Rst較大,Ist較小,隨著轉速的提高,感應電動勢E增大,逐漸減小Rst的阻值,就使得電機逐漸進入平穩運行狀態。在實際中,一般將起動電阻分為幾部分,逐段加以短路來實現。
(2)降壓起動
他勵電機通過電樞的電流 ,U為加在電樞兩端的電壓,在開始起動時U較小,此時電樞電流Ist也比較小,故起動電流不會很大。隨著電動機轉速的提高,反電動勢增大。電流減少,這時再逐步提高U的值,這樣電動機升速比較平穩。
反轉
左手定則因為電磁轉矩是主磁極磁通和電樞電流相互作用而產生的,根據左手定則,任意改變兩者之一時,作用力方向就改變。所以改變轉向的方法有兩種:一種是電摳繞組兩端極性不變,格勵磁繞組反接?另一種是勵磁繞組不變,將電樞繞組反接。但是由於他勵電動機勵磁繞組匝數較多,電感比較大,反方向勵磁磁通的建立過程緩慢,從而反轉的過程不能很快的進行。如果要使電機快速的進行反轉,一般採用改變電樞電流的方法。
調速
異步電動機他勵直流電動機與交流異步電動機相比,且然結構複雜,價格簡,維修也不方便,但是在調道姓能上有其獨特的優點,直流電動機能無級調速,機械傳動機構比較簡單。因此.對調運要求高的設備,均採用宜流電動機。
由直流電動機的轉速公式可知,Ra、 和U中的任意一個值,都可使轉速改變。改變電樞電路中外電阻的方法也可進行調速。但其缺點是耗電多,調速範圍小,且只能進行有級調速,故這種方法目前已較少採用。現常用的對直流電動機調速的方法有調磁法和調壓法 。
(1)調磁法
他勵電機
他勵電機即改變磁通量 。當保持電源電壓U為額定值時,調節Rf,改變勵磁電流If以改變磁通量,如圖2-11所示。由公式可知,在一定負載下, 愈小,則n愈高。
由於電動機在額定狀態運行時,它的磁路已接近飽和,所以通常都是減小磁通,將轉速往上調。
磁通量
他勵電機
他勵電機調速的過程是:當電壓U保持恆定時,減小磁通 。由於機械慣性,轉速產立即發生變化,於是反電動勢就減小,Ia隨之增加。由於Ia增加的影響超過 減小的影響,所以轉矩也就增加。如果阻轉矩Tc未變,則T>Tc轉速n上升。隨著n的升高,反電動勢E增大,Ia和T也著減小,直到T=Tc時為止。但這時轉速已比原來升高了。
他勵電機
他勵電機必須指出,若電動機在額定狀態下運行,則電樞電流Ia為額定值,如果調速時負載轉短仍舊保持不變(為額定值),由於 ,故減小磁通量 後Ia必然超過額定值,因此調速後負載轉矩必須城小。這種調速方法適用於轉矩與轉速成反比而輸出功率基本不變(恆功率調速)的場合。
這種調速方法的局限是轉速只能升高,即調速後的轉速要超過額定轉速。因為電機不允許超速太多,因此限制了它的調速範圍。在實際工作中,這種方法常作為電壓調速的一種補充手段。
(2)調壓法
他勵電機調壓調速即改變電壓U。當保持他勵電動機的勵磁電流If為額定值時,降低電樞電壓U,則由公式可見,在一定負載下,U愈低,則n愈低。由於改變電樞電壓只能向小於電動機額定電壓的方向改變,所以轉速將下調。
他勵電機調速的過程是:當磁通 保持不變時,減小電壓U,由於轉速不會立即發生變化,反電動勢E便暫不變化,於是電流Ia減小,轉矩T也減小。如果阻轉矩Tc未變,則T<Tc,轉速n下降。隨著n的降低,反電動勢E減小,Ia和T增大,直到T=Tc時為止。但這時轉速己比原來降低了。
由於調速時磁通不變,如在一定的額定電流下調運,則電動機的輸出轉矩便是一定的(恆轉矩調速)。
這種調速方法的缺點是調壓需用專門的設備,投資較高。近年來由於採用了單片機PWM信號對電動機進行調壓和調速,使這種方法得到了廣泛套用。
制動
1.制動的目的
1)使電力拖車系統停車
2)使電力拖車系統的轉速降低
3)對於位能負載的工作機械,用制動可獲得穩定的下降速度
2.制動的方法
電磁製動器1)自由停車,斷開電摳電源,電動機就會饅下來,最後停車,這種方法停車時時間長,特別是空載自由停車,更需要較長時間。
2)電磁製動器,也叫“抱閘”。用這種方法可以加快制動過程。
3)電氣制動,他是使電動機產生一個與旋轉方向相反的電磁轉短(即制動轉矩),以加強減速,使系統較快的停下來.電氣制動的優點是產生的制動轉矩大,制動強度控制比較容易.在電力拖動系統中多採用這種方祛,或者與電磁製動配合使用。
用電動機的制動狀態來限制位能負載的運動速度,是重物下降時電動機的轉速不變,這屬於穩定的制動狀態。而減速或停車制動時,電動機的速度是變化的,則屬於過渡的制動運轉狀態。這兩種制動狀態的區別在於轉速是有變化的,而它們的共同點則是電動機產生的轉矩T與其轉速n的方向相反,用電動機來吸收或消耗機械能(位能或動能) 。
發電機在直流他勵電動機的運行中,可以用三種方法得到制動運轉狀態,即:能耗制動、回饋制動及反接制動。
〔1)能耗制動
他勵電機通過雙向開關的切換,將電樞兩端從電網上斷開,連線到一個制動電阻Rs上,在這一瞬間,由於磁通量和轉速都沒有變,所以電動勢Ea也沒有交,電壓U=0,所以Ea因此會在電樞閉合電路中產生電流Ia, ,其方向與轉速方向相反,因此產生的電磁轉矩也與之相反,起著制動作用,直到電動機停止轉動為止,制動過程中,電動機的作用像一台發電機,將動能變為電能,井消耗在電樞電路內的電阻Rs上。
(2) 反接制動
他勵電機當電動機處於運轉狀態時,維持勵磁電流不變,突然改變電樞兩端的電壓的極性,即電壓由原來與Ea反向變為與Ea同向,此時電樞電流Ia變為,這樣電磁轉矩與轉速反方向,起制動作用。反接制動時,電樞電流非常大,制動作用非常強。如果制動的目的是為了停車,必須在轉速到零以前,用控制電路使電樞電壓斷開,否則系統便會有反轉的可能性。
(3) 回饋制動
回饋制動
他勵電機回饋制動又稱為再生制動,如果電動機在電動狀態的運行中,出於某種因素使電動機的轉速高於理想空載轉速時,此時感應電動勢E>U,所以電樞電流 ,與原來的方向相反,因為磁通量未變,所以電磁轉矩隨著Ia方向的變向而變向,而對電動機起制動作用,這時,工作機械帶動電動機發電,把機械能變成電能,向電源饋送。在降低電動機電樞電壓方法來降低速度的過程中,便會出現回饋制動狀態。同樣,電動機在弱磁狀態用增加磁通的方法來減速時,也能獲得過渡的回饋制動狀態,來實現迅速減速的目的 。

