介質擊穿
正文
加在電介質上的電場強度超過某一臨界值時,電介質的絕緣性能完全喪失的現象。介質擊穿時,通過介質的電流集中於細小的通道流過。固體電介質擊穿時,擊穿通道的高密度電流常使材料發生不可逆的破壞。氣體電介質擊穿和液體電介質擊穿時,往往出現電火花,甚至電弧,但外電壓去除後,絕緣性仍可恢復。擊穿是電介質的基本性能之一,標誌著它在電場作用下保持絕緣性能的極限能力,是決定電力設備、電子元器件最終使用壽命的重要因素。介質擊穿電壓的大小與材料的組成、厚度、環境條件及電極形狀、布置等有關。均勻電場下,單位厚度電介質的擊穿電壓(MV/m)稱為電介質擊穿場強,又稱介電強度。一些常用電介質在室溫下的介電強度如表所示。當電介質中含有水分、氣泡及細微雜質時,常使擊穿場強降低。
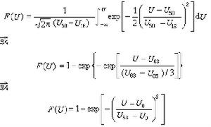
介質擊穿對具有面積效應的電極及電介質系統,可將電極看作是許多面積較小電極的並聯,擊穿電壓的機率分布遵循常態分配,或貢貝爾分布,或韋布爾分布,它們的機率分布函式分別為
上3式中
分別是擊穿機率為5%、16%、50%、63%時的電壓值,U0為初始值,
。對韋布爾分布,上式僅適用於U≥U0的情況;當U<U0時,F(U)=0。 具有面積效應的絕緣結構有電力電容器、油浸紙絕緣電纜、電容套管、變壓器繞組匝絕緣、線段間油道、SF6輸電管道和SF6全封閉組合電器(GIS)等。
體積效應 電介質的擊穿電壓隨其體積增大而下降的現象。電介質的擊穿電壓受電介質中的缺陷、雜質等因素的影響而變動。例如對具有較大量液體電介質的電極-電介質系統,雜質分布於整個體積,隨著高場強下的液體電介質體積的增加,雜質影響擊穿電壓的機率增大,擊穿電壓下降。又如,對高聚物固體電介質,缺陷分布於整個體積,當電介質體積增大時,缺陷影響電介質擊穿的機率也增加,擊穿電壓下降。
對具有體積效應的電介質,可看作是許多體積較小電介質的組合,擊穿電壓的機率分布遵循貢貝爾分布或韋布爾分布。

