簡介
在人工神經網路中,一個人工記憶神經元的功能是求得輸入向量與權向量的內積後,經一個非線性傳遞函式得到一個標量結果。單個神經元的作用:把一個n維向量空間用一個超平面分區成兩部分(稱之為判斷邊界),給定一個輸入向量,神經元可以判斷出這個向量位於超平面的哪一邊。神經元及其聯接;神經元之間的聯接強度決定信號傳遞的強弱;神經元之間的聯接強度是可以隨訓練改變的;信號可以是起刺激作用,也可以是起抑制作用;一個神經元接受的信號的累積效果決定該神經元的狀態;每個神經元可以有一個“閾值”。神經元是構成神經網路的最基本單元(構件)。人工記憶神經元的各種不同數學模型的主要區別在於採用了不同的變換函式 ,從而使神經元具有不同的信息處理特性 。 神經元的信息處理特性是決定人工神經網路整體性能的三大要素之一,因此變換函式的研究具有重要意義。神經元的變換函式反映了神經元輸出與其激活狀態之間的關係。最常用的變換函式有以下4種形式:閾值型變換函式、非線性變換函式、分段線性變換函式和機率型變換函式。
生物神經元
生物神經元結構
細胞體: 細胞核、細胞質和細胞膜。
樹突:胞體短而多分枝的突起。負責接收來自其他神經元的輸入信號,相當於細胞體的輸入端(input)
軸突:胞體上最長枝的突起,也稱神經纖維。端部有很多神經末稍傳出神經衝動。
突觸:神經元間的連線接口,每個神經元約有1萬~10萬個突觸。神經元通過其軸突的神經末稍,經突觸與另一神經元的樹突聯接,實現信息的傳遞。由於突觸的信息傳遞特性是可變的,形成了神經元間聯接的柔性,稱為結構的可塑性。突觸使神經細胞的膜電位發生變化,且電位的變化是可以累加的,單個神經元可以與多達上千個其他神經元的軸突末梢形成突觸連線,接受從各個軸突傳來的脈衝輸入。這些輸入可到達神經元的不同部位,輸入部位不同,對神經元影響的權重也不同。輸入部位不同,該神經細胞膜電位是它所有突觸產生的電位總和,當該神經細胞的膜電位升高到超過一個閾值時,就會產生一個脈衝,從而總和的膜電位直接影響該神經細胞興奮發放的脈衝數。神經元的信息是寬度和幅度都相同的脈衝串,若某個神經細胞興奮,其軸突輸出的脈衝串的頻率就高;若某個神經細胞抑制,其軸突輸出的脈衝串的頻率就低,甚至無脈衝輸出。因此,突觸可以分為興奮性和抑制性兩種,興奮性的突觸可能引起下一個神經細胞興奮,抑制性的突觸使下一個神經細胞抑制。脈衝的傳遞是正向的,不允許逆向傳播。另外,突觸傳遞信息需要一定的延遲。
細胞膜電位:神經細胞在受到電的、化學的、機械的刺激後,能產生興奮與抑制。
功能
興奮與抑制:當傳入神經元衝動,經整和使細胞膜電位升高,超過動作電位的閾值時,為興奮狀態,產生神經衝動,由軸突經神經末稍傳出。當傳入神經元的衝動,經整和,使細胞膜電位降低,低於閾值時,為抑制狀態,不產生神經衝動。
學習與遺忘:由於神經元結構的可塑性,突觸的 傳遞作用可增強與減弱,因此,神經元具有學習與遺忘的功能。
人工神經網路基本模型
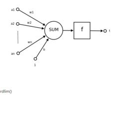
M-P 模型自從西班牙解剖學家Cajal於19世紀末創立了神經元學說以來,關於神經元的生物學特徵和相關的電學性質在之後被相繼發現 。1943年,McCulloch和Pitts根據神經元傳遞中的“ 0,1律”和神經傳遞中信號不但有不同的強度,而且有興奮和抑制兩種情況,第1次提出了神經元的數學模型,即M-P模型,它在多個方面都顯示出生物神經元所具有的基本特性。其次,其它形式的人工神經元已有很多,但大多數都是在M-P模型的基礎上經過不同的修正,改進變換而發展起來。因此M-P人工神經元是整個人工神經網的基礎。對M-P人工神經元進行改進的主要方式有如下幾個方面:神經元的內部改造:對人工神經元取不同的非線性函式;對輸入和輸出做不同的限制:離散的(某些離散點)和連續的(整個實數域)。神經網路的結構上的改造:人工神經元之間的聯接形式不同。算法的改進:在人工神經網路權值和閾值取求的方法上 不同。其它形式的改造。
人工神經網路是一種套用類似於大腦神經突觸聯接的結構進行信息處理的數學模型。在這一模型中,大量的節點(或稱“神經元”,或“人工記憶神經元”)之間相互聯接構成網路,即“神經網路”,以達到處理信息的目的。一種模仿動物神經網路行為特徵的分散式並行信息處理算法結構的動力學模型。它用接受多路輸入刺激,按加權求和超過一定閾值時產生“興奮”輸出的部件來模仿動物神經元的工作方式,並通過這些神經元部件相互聯接的結構和反映關聯強度的權係數使其“集體行為”具有各種複雜的信息處理功能。特別是這種巨觀上具有魯棒、容錯、抗干擾、適應性、自學習等靈活而強有力功能的形成不是由於元部件性能不斷改進,而是通過複雜的互聯關係得以實現,因而人工神經網路是一種聯接機制模型,具有複雜系統的許多重要特徵。人工神經網路適用於信號處理、數據壓縮、模式識別、機器人視覺、知識處理及其套用,預測、評價和決策問題,調度排序、路由規劃等組合最佳化問題。在控制系統設計中它可用於模擬被控對象特性、搜尋和學習控制規律、實現模糊和智慧型控制。

