定義
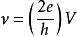
如果在S(超導體)-I(絕緣體)-S(超導體) 隧道區兩端加上一直流電壓V(當然,這時電流大於臨界電流),在結區就出現高頻的超導正弦波電流,其頻率與所施加的直流電壓成正比,有如下關係式:
交流約瑟夫森效應
交流約瑟夫森效應或 ,其中比例常數2e/h=483.6*10 HZ/μV。
這時,結區以同樣的頻率(若所加電壓是幾微伏,則在微波區域;若為幾毫伏,則在遠紅外波段)向外輻射電磁波。超導隧道結這種能在直流電壓作用下,產生超導交流電流,從而能輻射電磁波的特性,稱為交流約瑟夫森效應。
Sn-SnOx-Sn結的直流常電壓-電流階梯
交流約瑟夫森效應
交流約瑟夫森效應
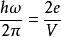
交流約瑟夫森效應如果用頻率為 的微波輻照約瑟夫森結,當結的約瑟夫森頻率 等於 的n次倍頻,即
交流約瑟夫森效應,(n=0,1,2,3...)時,外加微波和結輻射的電磁波發生共振,則在I-V特性上可以測到恆壓電流,隨著n=0,1,2,…, 在I-V特性上出現階梯效應,。有人以 10GHz的輸入頻率已觀察階梯數高於500。呈現約瑟夫森效應的結構,通常稱為約瑟夫結、超導結或弱連線超導體。
套用
國際計量局(BIPM)的約瑟夫森基準室利用交流約瑟夫森效應來監視電壓單位的基準器 ,已在美國、日本、英國和加拿大等國家立為法定的保持電壓基準器的方法。右圖是國際計量局所設的約瑟夫森基準室正在工作的情況。

