概念
量子場論中,微觀因果性與么正性、譜條件、交叉對稱性等原理結合起來,也可以導出散射振幅滿足的色散關係。
用色散關係研究強作用時,是將解析性與么正性、譜條件、交叉對稱性等相結合,使得到的許多物理過程的散射振幅相互聯繫,得出一組耦合的方程式。利用它們可以對強作用進行唯象分析。
基本原理
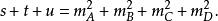
交叉對稱性為得到,還可以簡單地運用反粒子描述,見圖1“交叉”的結果,按這種方式,有:
交叉對稱性
交叉對稱性
圖1
交叉對稱性
交叉對稱性
交叉對稱性
交叉對稱性
交叉對稱性
交叉對稱性
交叉對稱性
交叉對稱性
交叉對稱性
交叉對稱性考慮過程,它有兩個獨立的運動學變數,例如入射能量和散射角。通常需要把表示成為Lorentz變換下的不變數的函式,這些不變數是粒子的四動量的標量積,,,等,由於(是第個粒子的靜止質量)和能量-動量守恆,不變數中只有兩個是獨立的。習慣上往往採用Mandelstam變數:
交叉對稱性
交叉對稱性
交叉對稱性它們滿足如下關係式:
交叉對稱性
交叉對稱性
交叉對稱性
交叉對稱性
交叉對稱性
交叉對稱性
交叉對稱性
交叉對稱性
交叉對稱性
交叉對稱性
交叉對稱性
交叉對稱性
交叉對稱性
交叉對稱性
交叉對稱性
交叉對稱性
交叉對稱性
交叉對稱性
交叉對稱性
交叉對稱性
交叉對稱性
交叉對稱性為表現由交叉相聯繫的過程的運動學或物理的區域,構造一個保持,,對稱的二維圖。畫出三個軸,,,使之構成高為的等邊三角形(圖2)。從三角形內或外(注意,,的符號)任一點到三軸垂直距離之和等於三角形的高度。是過程的質心繫總能量的平方,習慣上稱為道過程。在前一例中,道反應為,交叉反應和分別稱為道和道,因為和分別等於該道的質心繫能量。對不等質量粒子的散射,物理區域的邊界更複雜,但存在三個不相交區域這個一般性結論仍然成立。
圖2
交叉對稱性
交叉對稱性將作為道過程,容易證明:
交叉對稱性
交叉對稱性
交叉對稱性
交叉對稱性
交叉對稱性
交叉對稱性
交叉對稱性
交叉對稱性
交叉對稱性
交叉對稱性
交叉對稱性
交叉對稱性
交叉對稱性
交叉對稱性
交叉對稱性
交叉對稱性
交叉對稱性
交叉對稱性
交叉對稱性
交叉對稱性
交叉對稱性
交叉對稱性其中是質心繫散射角,,和分別為入射和散射電子在質心繫中的動量。還可以證明這一過程只有當,,時才是物理上允許的。這一物理區域在圖2中用陰影標出。注意,()對應於向前(向後)散射。對於交叉反應(),變成質心繫總能量的平方,這一過程在不同運動學區域才能實現:,,。需要注意,而,為入射的能量。如果道過程為,該反應和交叉反應的物理區域的邊界由下式給出:
交叉對稱性
交叉對稱性
交叉對稱性
交叉對稱性其中和分別為電子和子的質量。利用無自旋電子-正電子散射不變幅式子和交叉關係式子的形式,可以推導出:
交叉對稱性
交叉對稱性採用Mandelstam變數,可寫為:
交叉對稱性
圖3
交叉對稱性
交叉對稱性
交叉對稱性由此計算的截面畫在圖3上,明顯給出向前和向後的峰。和分別是動量轉移的平方,即虛光子動量的平方。當光子的動量平方很小時,即它幾乎在質殼上,由不確定性原理,相互作用的力程非常大,因此相應的截面非常大。

