常見含亞磺醯基化合物
3-(甲基亞磺醯基)-2-丁酮
亞磺醯化套用
雜環化合物的亞磺醯化方法:
雜環化合物的亞磺醯化,即引入RS(O)-基團,系通過由式RSX(R表示C1-C4的有一或多個相同或不同的鹵原子取代的直鏈或支鏈烷基,X通常表示鹵原子)表示的化合物與雜環化合物中將被取代的碳上的氫原子反應而進行。因此,上述反應生成硫基雜環化合物,後者必須經過氧化生成所需的亞磺醯基化合物。然而,業已發現,該氧化步驟常常不易進行。而且發現有些由式RSX表示的化合物毒性很大,例如化合物CF3SCl即是如此,因而使操作變得複雜。另一個常規的方法系通過使用化合物RX,將一中間體二硫化物的S-S鍵斷裂,生成烴硫基化合物,然後進一步氧化成亞磺醯基化合物。該方法避免了化合物RSX的使用,但未能免去其後的氧化步驟。
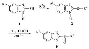
取代甲基亞磺醯基苯並咪唑類化合物的合成:
戴桂元等人合成了一系列取代甲基硫代苯並咪唑類化合物,並在過氧乙酸的氧化下得到取代甲基亞磺醯基苯並咪唑類化合物,收率較好(79%~97%),代替了用間氯過氧苯甲酸進行氧化,反應過程穩定,降低了成本。

