簡介
井筒分類
根據礦井開拓方式的不同,井筒可分為立井、平巷和斜井三種。其中,立井井筒按用途分類有:主井、副井、混合井和風井;斜井井筒按用途分類有:主斜井、副斜井、斜風井、排水斜井、注砂斜井等。
井筒建設的地位
井筒工程是礦井建設主要連鎖工程項目之一。井筒工程量一般占礦井井巷工程量的5%左右,而施工工期卻占礦井施工總工期的40%~50%。井筒工程施工速度的快慢,直接影響其他井巷工程、有關地面工程和機電安裝工程的施工。因此,加快井筒施工速度是縮短礦井建設總工期的重要環節。同時井筒是整個礦井建設的咽喉,其設計和施工質量的優劣,直接關係到礦井建設的成敗。因此,井筒設計必須合理,對井筒施工質量必須予以足夠的重視。
井筒結構
立井
立井井筒自上而下由井頸、井身、井底三部分組成。靠近地表的一段井筒叫做井頸,此段內常開有各種孔口。井頸的深度一般為15~20m,井塔提升時可達20~60m。井頸以下至罐籠進出車水平或箕斗裝載水平的井筒部分叫做井身。井身是井筒的主幹部分,所占井深的比例最大。井底的深度是由提升過卷高度、井底設備要求以及井底水窩深度決定的。
這三部分長度的總和就是井筒的全深。
斜井
不同用途的斜井,它們的井口結構、井身結構及井底結構都有所不同。
斜井井筒和立井井筒一樣,自上而下分為井頸、井身和井底三部分。斜井井頸是指接近地面出口,井壁需要加厚的一段井筒,由筒壁和壁座組成。
斜井井筒是連線工業場地和井下各開採水平的主要進出口,服務年限長,因此斜井多用混凝土砌碹或料石砌碹支護。近年來大多數斜井開始採用錨噴支護並取得了相當好的效果,井口明洞部分多為碹體支護結構。
井底是指井筒與車場水平的連線部分,對箕斗斜井和膠帶輸送機斜井而言,井底則是指井底裝載水平及井底水窩部分。不同類型的斜井,其井底結構也不一樣。
井筒斷面設計
立井
立井井筒斷面設計包括確定井筒斷面尺寸,選擇井壁結構並確定井壁厚度,繪製井筒斷面施工圖和編制工程量及材料消耗量表。
1、立井提升容器的類型及選擇
(1)提升容器的類型
煤礦立井提升容器有兩種,一是箕斗,二是罐籠。專門用作提升煤炭的容器叫箕斗;用作升降人員、材料、設備和矸石的容器叫罐籠。在大、中型國營礦山中,提升煤炭均選用箕斗,在年產30萬噸以下的小型礦井中,有的也用罐籠提煤。而副井均為罐籠提升,有的也擔負一部分提煤任務。
我國煤礦用箕斗和罐籠,分別適用於各種剛性罐道和柔性罐道等多種類型。按照提升鋼絲繩類型,又分單繩提升和多繩提升兩類,其中多繩提升具有提升安全、鋼絲繩直徑小、設備重量輕等優點,因而在大中型礦井中使用日益廣泛。伴隨多繩提升的出現,箕斗的容積也越來越大,我國的箕斗最大已達40m 。
(2)提升容器的選擇
①箕斗的容量和規格的確定
箕斗的容量和規格,主要根據礦井年產量,井筒深度及礦井年工作組織來確定。箕斗的一次合理提升量可按下式計算:
井筒式中:
q-箕斗的一次提升量,t/次;
A-礦井設計年生產能力,t/a;
C-提升不均勻係數,有井底煤倉時:C=1.1~1.15;無井底煤倉時:C=1.2;
a-提升能力富裕係數,一般僅對第一水平留20%左右的富裕係數;
N-礦井年工作日,按300d/a;
t-每天淨提升時間,按14h/d;
T-一次提升循環時間,s/次;
②罐籠規格的確定
罐籠的類型應根據礦井選定的礦車規格初選,然後再根據《煤礦設計規範》的規定按最大班工人下井時間、最大班淨作業時間進行驗算。
2、立井井筒斷面布置
井筒斷面應根據選定提升容器與井筒設備的類型來布置。井筒斷面內除提升間外,根據井筒的用途,往往還需要布置梯子間、管纜間或延深間。
井筒斷面的布置,既要滿足井筒內提升容器等設備布置的要求,又要力求縮小井筒斷面,簡化井筒裝備,以達到節約材料和投資的目的。
根據提升容器和井筒裝備的不同,井筒斷面布置形式多種多樣。
3、井筒淨斷面尺寸確定
井筒淨斷面尺寸主要根據提升容器規格和數量、井筒裝備的類型和尺寸、井筒布置方式以及各種安全間隙來確定,最後用通過井筒的風速校核。
(1)確定井筒斷面尺寸的步驟
①根據井筒的用途和所採用的提升設備,選擇井筒裝備的類型,確定井筒斷面布置形式。
②根據經驗數據,初步選定罐道梁型號、罐道截面尺寸或罐道繩的類型和直徑,並按《煤礦安全規程》規定,確定間隙尺寸。
③根據提升間、梯子間、管路、電纜占用面積和罐道梁寬度、罐道厚度以及規定的間隙,用圖解法或解析法求出井筒近似直徑。當井筒淨直徑小於6.5m 時,按0.5m 進級;大於6.5m 時,一般以0.2m 進級確定井筒直徑。
④根據已確定的井筒直徑,驗算罐道梁型號及罐道規格。
⑤根據驗算後確定的井筒直徑和罐道梁、罐道規格,重新作圖核算,檢查斷面內的安全間隙,並作必要的調整。
⑥根據通風要求,核算井筒斷面,如不能滿足,則最後按通風要求確定井筒斷面。
(2)井筒淨斷面尺寸的確定
無論是罐籠井或是箕斗井,剛性設備或是柔性設備,井筒淨斷面尺寸的確定方法基本相同。一般情況下是首先確定提升間和梯子間尺寸及其相對位置;然後根據安全間隙要求,採用解析法或作圖法求得近似的井筒直徑,獲得提升容器在井筒內的具體位置;最後進行調整,得到井筒的淨斷面尺寸。
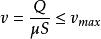
(3)通風校核
由提升容器和井筒裝備確定的井筒直徑,必須按照《煤礦安全規程》的要求進行通風校核,使井筒內的風速不大於允許的最高風速,即
井筒式中
v ——通過井筒的風流速度,m/s;
S ——井筒淨斷面面積,m ;
μ ——井筒通風有效斷面係數μ=0.6~0.8;
Q ——通過井筒的風量,m /s;
v——井筒中允許的最高風速,m/s。
《煤礦安全規程》規定:升降人員和物料的井筒,v=8 m/s;專為升降物料的井筒,v=12m/s;無提升設備的風井,v=15m/s。根據設計經驗,除特殊情況外,設計出的井筒淨直徑一般都能滿足通風要求。如果不能滿足通風要求,井筒淨直徑應相應加大。
平巷
巷道斷面設計的內容和步驟是:首先選擇巷道斷面形狀,確定巷道淨斷面尺寸,並進行風速驗算;其次,根據支架參數和道床參數計算出巷道的設計掘進斷面尺寸,並按允許的超挖值求算出巷道的計算掘進斷面尺寸;然後,布置水溝和管纜;最後,繪製巷道斷面施工圖,編制巷道特徵表和每米巷道工程量以及材料消耗量一覽表。
1、斷面選型
我國煤礦井下使用的巷道斷面形狀,按其構成的輪廓線可分為折線形和曲線形兩大類。
前者如矩形、梯形、不規則形等;後者如半圓拱形、圓弧拱形、三心拱形、馬蹄形、橢圓形和圓形等。
巷道斷面形狀的選擇,主要應考慮巷道所處的位置(即作用在巷道上地壓的大小和方向、圍岩性質)、用途及其服務年限、選用的支架材料和支護方式、掘進方法和採用的掘進設備等因素。
一般情況下,作用在巷道上的地壓大小和方向在選擇斷面形狀時起主要作用。當頂壓和側壓均不大時,可選用矩形或梯形斷面;當頂壓較大、側壓較小時,則應選用直牆拱形斷面(半圓拱、圓弧拱或三心拱);當頂壓、側壓都很大且底鼓嚴重時,就必須選用諸如馬蹄形、橢圓形或圓形等封閉式斷面。
2、確定斷面尺寸
巷道斷面尺寸主要取決於巷道的用途,存放或通過它的機械、器材或運輸設備的數量及規格,人行道寬度和各種安全間隙,以及通過巷道的風量等。
設計巷道斷面尺寸時,根據上述諸因素和有關規程、規範的規定,首先定出巷道的淨斷面尺寸,並進行風速驗算;其次,根據支護參數、道床參數計算出巷道的設計掘進斷面尺寸,並按允許加大值(超挖值)計算出巷道的計算掘進斷面尺寸;最後,按比例繪製巷道斷面施工圖,編制巷道特徵表和每米巷道工程量及材料消耗量表。
(1)巷道淨寬度的確定
直牆拱形和矩形巷道的淨寬度,系指巷道兩側內壁或錨桿露出長度終端之間的水平距離。對於梯形巷道,當其內通行礦車、電機車時,淨寬度系指車輛頂面水平的巷道寬度;當其內不通行運輸設備時,淨寬度系指從底板起1.6 m 水平的巷道寬度。運輸巷道淨寬度,由運輸設備本身外輪廓最大寬度和《煤礦安全規程》所規定的人行道寬度以及有關安全間隙相加而得;無運輸設備的巷道,可根據行人及通風的需要來選取。
(2)巷道淨高度的確定
矩形、梯形巷道的淨高度系指自道渣面或底板至頂梁或頂部噴層面、錨桿露出長度終端的高度;拱形巷道的淨高度是指自道渣面至拱頂內沿或錨桿露出長度終端的高度。
《煤礦安全規程》規定,主要運輸巷道和主要風道的淨高,自軌面起不得低於1.9 m。架線電機車運輸巷道的淨高,必須符合有關規定:電機車架空線的懸掛高度,自軌面算起在行人的巷道內、車場內以及人行道同運輸巷道交叉的地方不得小於2m;在不行人的巷道內不得小於1.8m;在井底車場內,從井底到乘車場其高度不得小於2.2m。電機車架空線和巷道頂或棚梁之間的距離不得小於0.2m。採區(盤區)內的上山、下山和平巷的淨高不得低於1.8m。
3、斷面內水溝設計和管線布置
(1)水溝設計
為了排出井下湧水和其他污水,設計巷道斷面時應根據礦井生產時通過該巷道的排水量設計水溝。水溝通常布置在人行道一側,並儘量少穿越運輸線路。只有在特殊情況下才將水溝布置在巷道中間或非人行道一側。
平巷水溝坡度可取0.3%~0.5%,或與巷道的坡度相同,但不應小於3.5%,以利水流暢通。運輸大巷的水溝可用混凝土澆築,也可把鋼筋混凝土預製成構件,然後送到井下鋪設。採區中間巷的水溝,可根據巷道底板性質、服務年限長短、排水量大小和運輸條件等因素考慮是否需要支護。回採巷道的服務年限短、排水量小,故其水溝不用支護。棚式支架巷道水溝一側的邊緣距棚腿應不小於300mm。
為了行人方便,主要運輸大巷和傾角小於15°斜巷的水溝應鋪放鋼筋混凝土預製蓋板,蓋板頂面應與道渣面齊平。只有在無運輸設備的巷道或傾角大於15°的斜巷以及採區中間巷和順槽才可不設蓋板。
常用的水溝斷面形狀,有對稱倒梯形、半倒梯形和矩形幾種。各種水溝斷面尺寸應根據水溝的流量、坡度、支護材料和斷面形狀等因素確定。
(2) 管線布置
根據生產需要,巷道內需要敷設諸如壓風管、排水管、供水管、動力電纜、照明和通信電纜等管道和電纜。管纜的布置要考慮安全和架設檢修的方便,一般應符合下列要求:
① 管道通常設定在人行道一側,也可設在非人行道側。管道架設可採用管墩架設、托架固定或錨桿懸掛等方式。若架設在人行道上方,管道下部距道碴或水溝蓋板的垂高不應小於1.8m,若架設在水溝上,應以不妨礙清理水溝為原則。
② 在架線式電機車運輸巷道內,不要將管道直接置於巷道底板上(用管墩架設),以免電流腐蝕管道。管道與運輸設備之間必須留有不小於0.2m 的安全距離。
③ 通信電纜和電力電纜不宜設在同一側。如受條件限制設在同一側時,通信電纜應設在動力電纜上方0.1m 以上的距離處,以防電磁場作用干擾通訊信號。
④ 高壓電纜和低壓電纜在巷道同側敷設時,相互之間距離應大於0.1 m 以上;同時高壓電纜之間,低壓電纜之間的距離不得小於50mm,以便摘掛方便。
⑤電纜與管道在同一側敷設時,電纜要懸掛在管道上方並保持0.3 m 以上距離。
⑥電纜懸掛高度應保證當礦車掉道時不會撞擊電纜,或者電纜發生墜落時,不會落在軌道上或運輸設備上。所以,電纜懸掛高度一般為1.5~1.9m;電纜兩個懸掛點的間距不應大於3.0m;電纜與運輸設備之間距離不應小於0.25 m。
4、彎曲巷道斷面加寬
在巷道彎道處,車輛四角要外伸或內移,應將上述安全間隙適當加大,加大值與車箱長度、軸距和彎道半徑有關。其加寬值一般外側為200 mm(20 t 電機車可加寬300 mm),內側為100mm,雙軌中線距為300mm。有的設計為了簡化計算,內外側均加寬200mm。巷道除曲線段要全部加寬外,與曲線段相連的兩端直線段也需加寬。其加寬長度對於礦車運輸巷道建議取1.5~3.5 m;電機車通行的巷道,建議加寬3~5m。雙軌曲線巷道,兩軌道中線距加寬起點也應從直線段開始,用於機車建議加寬5m;用於3t 或5t 底卸式礦車建議加寬5~7m;用於1t 礦車可加寬2m。
斜井
斜井井筒的斷面形狀及支護方式、斷面設計方法與平巷相同。
斜井井筒有直牆半圓拱形、切圓拱形、三心拱形及梯形。據統計斜井井筒斷面形狀95%以上為直牆半圓拱形。
斜井井筒斷面布置原則是:設備之間的安全間隙要符合《煤礦安全規程》的要求,保證提升安全可靠;便於設備的檢修和維護;滿足通風要求和上下人員的安全。
(1)膠帶輸送機斜井井筒斷面布置
在膠帶輸送機斜井中,井筒內除安設膠帶輸送機外,還應鋪設檢修道,以便升降在安裝、檢修中所需要的設備。有的礦井檢修道還兼作提升人員的人車道。根據膠帶輸送機、檢修道和人行道相對位置的不同,普通膠帶機斜井井筒斷面有三種布置形式。
(2)箕斗斜井井筒斷面布置
箕斗斜井均採用雙鉤提升。箕斗斜井井筒一般不兼作迴風井,除布置消防灑水管路和信號、通訊電纜外,一般不布置其它設備。箕斗斜井井筒斷面布置較為簡單,水溝和人行道布置於同一側。
(3)串車斜井井筒斷面布置
串車提升既可作為礦井的輔助提升(副斜井),也可作為中、小型礦井的主提升。在串車提升的斜井井筒中除提絞設備外,一般還設有水溝、人行道、管路和各種電纜。根據軌道、人行道和水溝及管路的相對位置的不同,其井筒斷面布置有四種方式。
井筒表土施工
立井
立井井筒工程是礦井建設的關鍵工程。我國立井井筒的特點:井筒深度大、斷面積大、表土層厚、水文地質條件複雜。因此,導致施工難度大,施工技術複雜、施工工期長。雖然井筒工程量只占礦井建設工程量的5%左右,而施工工期卻往往占建井總工期的40%~50%,而且鑿井工程的總體布署,對後續工程會有很大影響。因此,提高立井施工機械化裝備水平,採用先進的施工技術,做好井內湧水的綜合治理,是加快鑿井速度,縮短鑿井工期,提高工程質量和工效的有效措施,也是加快礦井建設速度和縮短建井總工期的關鍵。
立井井筒一般要穿過表土與基岩兩個部分,其施工技術由於圍岩條件不同各有特點。表土施工方案選擇主要考慮工程的安全,而基岩施工主要考慮施工速度。由於表土鬆軟,穩定性較差,經常含水,並直接承受井口結構物的荷載。所以,表土施工比較複雜,往往成為立井施工的關鍵工程。
我國立井施工技術和機械化裝備水平有了很大的提高。其中表土施工技術和施工水平也在不斷進步。但在施工中仍然存在一些薄弱環節,尤其是深厚表土層中立井井筒的施工方法比較單一,施工技術還存在一些問題,制約著立井井筒的整體質量,因此必須認真總結經驗,勇於創新,不斷推進深厚表土層立井井筒的施工技術。
在立井井筒施工中,覆蓋於基岩之上的第四紀沖積層和岩石風化帶統稱為表土層。由於表土層土質鬆軟、穩定性差、變化大,且一般均有湧水;又因接近地表,直接承受井口構築物的荷載,因此,對立井井筒施工方案的選擇影響比較大。
表土通常是以土為骨架(主要是礦物和一些有機體),並和水、空氣組成三相體,由於各個煤田的地質和水文條件的不同,土的結構性質(礦物成分和顆粒大小)、含水量、水壓和滲透性,以及土層厚度和賦存關係等各項性能指標變化很大,反映在工程上的穩定性及施工時的難易程度差別也大。其中對土層穩定性起決定作用的是土質結構性質和含水情況,而水對土的穩定性影響是很大的,如井內湧水處理不當,不但影響施工速度和質量,往往造成井筒片幫、壁後空洞、地面塌陷,以至直接關係到施工的成敗。
按表土土質的結構性質,我國煤田表土層可歸納為以下四類:
(1)鬆散性土層。主要由礫(卵)石、砂和粉砂等非粘結性土質組成,顆粒間無粘聚力,呈鬆散狀態。土的顆粒愈大,透水性愈好,內摩擦力也愈大,其穩定性也增大。其中細粒砂土,在水量及水壓增大時呈流動狀態,穩定性很差,稱流砂,它是施工中最難處理的土層。
(2)粘結性土層。主要由粘土及含砂量少的砂質粘土組成。土層緻密,均勻堅硬,塑性強,透水性少,含水量少,穩定性好。
(3)大孔性表土。主要由多孔性黃土組成,大多為粉土顆粒,含有大量膠結物(石鹽、石膏、碳酸鈣等鹽類)。在受水浸濕前,強度較高,壓縮性小,能保持直立的邊坡;但一遇到水,膠結物松解溶化,土層變軟,易於沉陷坍塌而失去穩定性。
(4)其它特殊土層。主要包括膨脹土和岩石風化帶。膨脹士主要由親水性礦物組成,具有吸水膨脹和失水收縮的特點,如膨脹性大的粘土等。沖積層與基岩的交界處,常夾有一層岩石風化帶。其岩層鬆散、強度低、透水性強,有的還遇水軟化、膨脹、崩解(如華東地區的紅層)。由於穩定性較差,在建井施工中,一般將它與第四紀沖積層一併考慮。
表土的物理力學性質,隨著含水程度的變化而改變,水對不同類型的顆粒成分和結構性質的影響也是不一樣的。水能使土變軟、液化,使顆粒間粘結力和內摩擦力減小,變成塑性或流動狀態;水在土中產生靜(動)水壓力,增強了土的流動性;含有自由鹼、酸和鹽的水,對表土起化學作用;水量愈大,水壓愈大,浸水時間愈長,土的變形愈大,土的穩定性也愈差,所以在表土施工中對水的處理應特別重視。
工程中按表土穩定性將其分成兩大類:
(1)穩定表土層。包括含非飽和水的粘土層、含少量水的砂質粘土層,無水的大孔性土層和含水量不大的礫(卵)石層等。
(2)不穩定表土層。包括含水砂土、淤泥層、含飽和水的粘土、浸水的大孔性土層、膨脹土和華東地區的紅色粘土層等。
由於表土層並非單一土層,往往是不同性質土層的互層,對於表土施工,主要應考慮其中不穩定土層的施工方法和措施,因為這類土層將嚴重影響施工安全和施工速度。
斜井
由於表土層土質鬆軟、穩定性較差、一般有湧水,地質條件變化較大,斜井過表土距離長,因此安全快速地通過表土層尤其重要。斜井表土施工,一般採用明槽開挖的方法,套用該法時,最好要避開雨季,以免給施工帶來困難。
1、明槽挖掘
在明槽施工之前,應根據具體的地質條件、土層狀況、斜井傾角、地下水位、施工設備等條件確定斜井井口明槽的有關尺寸。
明槽的坡度值根據開挖方式和土壤的物理力學性質,即土壤的內摩擦角、粘著力、濕度、容重等參數來確定。
明槽的幾何尺寸還取決於水的影響和掘砌速度的影響。在水的影響下,明槽周圍土體的物理力學性質發生了變化,土體穩定性顯著惡化,此時,應將明槽的槽壁坡度變緩。
為防止地面雨水流入明槽內,應在明槽四周挖掘環形排水溝。若在雨季開挖明槽,應考慮在明槽上部搭設防雨棚,並做好汛期防洪工作。必要時在明槽四周修築土堤擋水。主排水水溝一般設定在施工區邊緣或道路兩旁,施工過程中應保持排水溝的暢通,必要時應設定涵洞。
在明槽開挖過程中,槽底面低於地下水位時,地下水會不斷地滲入明槽內,造成施工條件的惡化。為此在明槽開挖前應根據水文狀況採用井點降水和槽內排水。
明槽屬於臨時性挖方邊坡,其挖掘的速度應儘量快,維護的時間應儘量短,以保證明槽周圍土體的穩定。明槽坡面上如有局部滲入地下水時,應在滲水處設定過濾層,防止土粒流失。為排出明槽中的積水,在槽底兩側設排水溝,在明槽前端設集水坑,用水泵排出明槽進入主排水溝。當土體穩定性較差,明槽開挖較深,地下水豐富,容易發生流砂時,可採用井點降水法,使地下水降至明槽槽底面以下,從而滲水不能流入明槽內而保持土體穩定。
2、深表土掘砌方法
我國煤田的表土層多為第四紀沖積層,其穩定性受分布地域的影響較大。即使同一地域的表土層,也因土質結構性質、含水量、滲透性等不同而差異較大。其中,穩定性表土層的斜井施工比較簡單,一般採用普通法施工。當斜井掘進跨度小於5.0m 時,可全斷面一次掘進短段掘砌施工;當斜井掘進寬度大於5.0m 時,可採用中央導硐或兩側導硐施工法。
不穩定性表土,是指含水的礫石、砂、粉砂組成的鬆散性表土、流砂或淤泥層,對於這類地層一般必須採用特殊方法施工:
當不穩定表土層埋深不超過10m 時,多採用板樁法;
當湧水量較大時需配合工作面超前小井降水和井點降水的綜合措施來施工;
當含水砂層埋深在20m 以內時,可採用沉井法施工,如山東井亭煤礦斜井;
當湧水量大,流砂層厚,地質條件複雜,一般流砂層厚30-50m 時,可採用混凝土帷幕法施工,如遼源梅河立井斜井;
在深厚不穩定表土層中也可以使用注漿法施工,如鎮城底煤礦副斜井,採用水泥、水玻璃雙液注漿,順利通過湧水量大(156.64m3/h)的厚卵石層(12.9m)。
以往凍結法在斜井施工中套用較少,其原因是斜井凍結技術較立井凍結技術複雜,經濟效果也不如立井。但從斜井開拓和立井開拓的建井、生產總體效益相比,斜井優於立井。
隨著凍結技術的推廣套用和斜井開拓及斜井-立井綜合開拓的日益增多,深厚表土中的斜井凍結法施工,將更為普遍。在深厚表土斜井施工中,其永久支護的形式多為料石砌碹、混凝土砌碹、鋼拱架及錨網噴支護等。
井筒基岩施工
立井
立井井筒基岩施工是指在表土層或風化岩層以下的井筒施工,根據井筒所穿過的岩層的性質,主要以採用鑽眼爆破法施工為主。根據井筒掘砌作業方式的不同,井筒鑽眼爆破法的主要施工工序包括鑽眼爆破、抓岩提升、卸矸排矸和砌壁支護等。
我國立井井筒基岩施工機械化水平有了很大的提高。以深孔光爆、設備大型化、支護機械化和注漿堵水打幹井為主要內容的鑿井技術有了長足的發展。使我國立井井筒施工出現了一個嶄新的面貌,為加快建井速度,改善勞動條件,提高工效提供了可靠的物質基礎和技術保證。
1、鑽眼工作
在整個鑽眼爆破工作中,鑽眼所占的工時最長。加快鑽眼速度、加大眼深、提高眼孔質量,以及提高鑽眼的機械化程度為其主要發展方向。為適應立井施工的要求,鑿岩機應具有鑽速高、扭矩大、適應性強和運轉可靠的特點。
2、爆破工作
爆破工作主要包括爆破器材的選擇和爆破參數的確定,並編制爆破圖表和說明書。
3、裝岩工作
裝岩是立井井筒掘進循環中最重要的一項工作,它既費時又繁重,約占掘進總循環時間的50%~60%。因此,提高裝岩效率和機械化水平是加快立井施工的關鍵。
4、提升及排矸
立井井筒施工中,為了排除井筒工作面的矸石、下放器材、設備以及提放作業人員,應在井內設定提升系統。這套提升系統稍加改裝,還應能服務於車場巷道施工和井筒永久裝備。鑿井提升系統選擇是否合理,不但直接影響鑿井裝矸作業和鑿井施工速度,而且還會影響建井後期工作的順利開展。
鑿井提升系統由提升容器、鉤頭聯接裝置、提升鋼絲繩、天輪、提升機以及提升所必備的導向穩繩和滑架等組成。鑿井期間,提升容器以矸石吊桶為主,有時也採用如底卸式下料吊桶和下料框等容器。當轉入車場和巷道施工時,提升容器則由吊桶改為鑿井罐籠。
立井開鑿時,為了懸掛吊盤、砌壁模板、安全梯、吊泵和一系列管路纜線,必須合理選用相應的懸吊設備。懸吊系統由鋼絲繩、天輪及鑿井絞車等組成。
平巷
當巷道在薄煤層中掘進時,為了保證巷道的使用高度,必須挑頂或挖底。因此,在巷道斷面上既有煤層,又有岩層。當岩層占掘進工作面積1/5~4/5 時,即稱為煤-岩巷道。煤-岩巷道施工方法與岩巷和煤巷的施工方法基本相同。
1、鑽眼爆破
鑽眼爆破工作是一項主要工序,質量好壞,對巷道掘進進度、規格質量、支護效果、掘進工效和成本都有很大影響,因此必須採用最優的施工工藝參數,才能獲得最佳的施工效果。
鑽眼爆破的主要技術發展趨勢是發展中深孔、光面爆破和斷裂成型(刻槽)爆破技術。增加眼深,完善深孔直眼掏槽方式,減少炮眼數量,加快鑽眼速度和提高爆破效率。現代工程是以每米巷道所需的鑽爆工時最短、炮眼利用率最高和光爆質量標準評價施工效果。
2、裝岩與運輸
裝載與運輸是巷道掘進中勞動量大,占循環時間最長的工序,一般情況下它可占掘進循環時間的35%~50%。
70 年代以來,我國先後研製成功耙斗裝岩機、側卸式裝岩機、蟹爪裝岩機及立爪裝岩機,其中根據煤礦特點研製的耙斗裝岩機,因具有結構簡單、製造容易、造價低、可靠性好和適應性強等優點,已成為當前我國煤礦巷道掘進的主要裝載設備。
近些年來,配套的轉載運輸設備也在不斷研究改善,先後出現了QZP-160 型橋式轉載機、SJ-80與SJ-44 可伸縮膠帶運輸機、ZP-1 型膠帶轉載機等,以及S4、S6、S8 型梭式礦車和ILA、CCJ 型倉式列車以及5t 以上防爆型蓄電池電機車。以上多為從工作面運出矸石的設備,同時也發展了可向工作運輸材料的膠帶輸送機、鋼絲繩牽引卡軌車和鋼絲繩牽引單軌吊車。
斜井
到上世紀八十年代我國的斜井快速施工已形成了具有中國特色的機械化作業線和設備配套方式。作業方式和勞動組織進一步最佳化,工效進一步提高,施工技術取得較大發展。進入新世紀以後,伴隨國家體制的改革和承包制的推行,斜井施工技術已進入一個嶄新的階段。
1、鑽眼爆破
(1)鑿岩機具的選擇
斜井基岩掘進都採用中深孔全斷面一次光面爆破和拋渣爆破。斜井鑽眼採用導軌式鑿岩機,雖然有助於實現深孔光爆,但鑿岩台車的調車讓位需要較長的時間;使用鑽裝機又不能使鑽眼與裝岩兩大主要工序平行作業;生產的液壓氣腿式鑿岩機,鑽眼速度比較快,但其後部配備的工作車又影響裝岩工作。
(2)爆破參數的確定
①炮眼深度
為實現中深孔爆破,炮眼深度一般為2.0~3.5m 之間。炮眼的平均深度應經試驗來確定,根據工作實踐來驗證,最後定出合理的炮眼深度。
②炮眼數目
炮眼數量的多少,現場多根據斜井斷面大小、岩石性質、炸藥性能等進行試驗或經驗確定,在實踐中進行調整,取得合理的炮眼數目。也可按平巷炮眼數目確定方法進行估算。
(3)掏槽方式和炮眼布置
實現中深孔光面爆破,必須採用直眼掏槽或直眼與斜眼混合方式。直眼掏槽,過去在金屬礦山套用較廣,主要用於堅硬岩石的掘進。
(4)裝藥結構和爆破技術
斜井掘進工作面中的炮眼都帶有一定傾角,工作面一般都有積水。因此,必須使用抗水炸藥。現場多採用水膠炸藥或2 號抗水岩石硝銨炸藥。為取得好的爆破效果,掏槽眼應採用高威力炸藥連續反向裝藥,而周邊眼應採用低威力炸藥或小藥徑炸藥連續反向裝藥,與平巷裝藥基本相同,只是底眼應加大裝藥量,最後起爆底眼,實現拋渣。
2、裝岩提升
裝岩與提升是斜井井筒掘進的主要環節,直接影響著掘進速度。二者占掘進循環的時間60%~70%,因此,國內外的斜井施工都強調裝岩和提升的機械化程度及設備配套綜合能力的發揮。
3、支護技術
斜井永久支護,上世紀七十年代前多採用料石砌碹和混凝土支架支護,廣泛採用錨噴支護。採用錨噴支護時應重點解決好建立井口混凝土攪拌站、合理控制噴射工作風壓、減少輸料管的磨損和防止管道擊穿、預防和處理管路堵塞等幾個問題。

