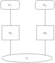
1孫氏圖下的五種基本制度結構
按照制度的基本功能來分類,人類社會中共存在三大類制度:行為管理制度、任務分擔制度、福利分配製度。其中,行為管理制度的功能是對被管理者進行行為管理,任務分擔制度的功能是把任務分配給多個個體的制度,福利分配製度是把“福利”分配給各個個體的制度。
採用孫氏圖來分析這三大類制度,可以發現:
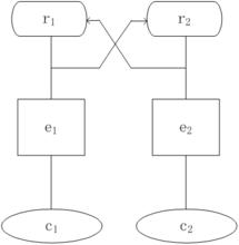
在行為管理制度大類中,現實中存在的兩種制度(懲罰制度與獎勵制度)的孫氏圖是相同的,即懲罰制度與獎勵制度在結構上屬於同一種制度結構。
在任務分擔制度大類中,孫氏圖有實質差別的只有三種制度結構:雙獨立制度、回報共享制度、成本分攤制度。其它各種制度都是這三種制度的改進或者變形。
在福利分配製度大類中,用孫氏圖分析只有一種結構:競爭制度,其它制度是競爭制度的改進。
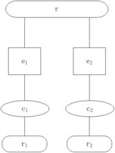
這樣,根據孫氏圖的分析結果,人類社會中共存在五種基本的制度結構。現實中的各種具體的複雜的制度,都可以看作是這五種基本制度的變形或者改進。
這三大類制度是根據制度的功能來劃分的。用孫氏圖來分析,這三大類制度的孫氏圖都具有顯著的特徵:行為管理制度的孫氏圖具有觀測器;任務分擔制度中的各種基本制度結構的孫氏圖在回報與成本的共用性上規則排列;福利分配製度的孫氏圖在促進器上互動關係明顯。可見,孫氏圖的確是分析制度結構的科學而有力的工具。
1.1行為管理制度
行為管理制度的功能是使個體放棄不良行為,選擇提倡行為。比如使官員廉潔奉公,使學生努力學習,使員工努力工作等。人們常常把行為管理制度分為兩種類型,分別是懲罰制度和獎勵制度。它們的孫氏圖有一個明顯的特點,即都有觀測器。其中,懲罰制度的觀測器針對不良行為,獎勵制度的觀測器針對提倡行為。從孫氏圖的結構來看,這兩種制度是相同的。
(1) 懲罰制度與獎勵制度具有相同的結構
圖13二元行為懲罰制度的孫氏圖懲罰制度的孫氏圖(以二元行為懲罰制度為例)如圖13所示。
圖14 二元行為獎勵制度的孫氏圖獎勵制度的孫氏圖(以二元行為獎勵制度為例)如圖14所示。
(2)任務分擔制度中的三種基本制度結構
1.2任務分擔制度
任務分擔制度,是把較大型的任務分配給多個個體,並促使個體完成這些任務的制度。任務分擔制度要解決的是如何使個體的行為保持在合理的努力水平上,既能夠高效率的完成任務,又不引起資源的過度消耗。
從孫氏圖的角度看,任務分擔制度共有三種基本結構,分別是雙獨立制度、回報共享制度、成本公攤制度。
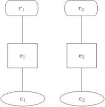
(2.1)雙獨立制度
圖15雙獨立制度的孫氏圖(雙個體)雙獨立制度的孫氏圖如圖15所示。
雙獨立制度的特點是在被管理者組成的群體中,各個個體的行為回報完全由該個體獨享,同時自己的行為成本也完全由該個體完全獨自承擔。雙獨立制度主要用於可分解成個體勞動的任務,比如裝卸零散貨物、承包耕種土地等。
(2.2)回報共享制度
圖16 回報共享制度的孫氏圖(雙個體)回報共享制度的的孫氏圖如圖16所示。
回報共享制度是一種多個體聯合成一個集體來完成任務的任務分擔制度,其特點是把集體的產出按個體數量平均後作為每個個體的回報,即回報是由成員“平均共享”的。但每個個體的行為成本卻是各自獨立承擔的。
這種制度常常用於產出具有正外部性或者無法按個體成員分割總產出的情況下,比如修公路和橋樑、治理環境污染等。
(2.3) 成本公攤制度
圖17成本公攤制度的孫氏圖(雙個體成本公攤制度的孫氏圖如圖17所示。
成本公攤制度也是一種多個體聯合完成任務的分擔制度,其特點是行為的成本由集體中各個個體成員“平均公攤的”,但各個個體的行為回報卻完全是由自己獨自享受的。一些具有負外部性的行為,在事實上往往是成本公攤制度來管理的。比如生產過程對環境有污染時,產品的收益歸生產企業,但對環境的污染由整個社會來承擔。運輸公司的營業收入歸本公司,但由於對道路的占用導致的擁擠卻要社會承擔等。
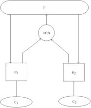
任務分擔制度中的三種基本制度結構,其孫氏圖的一個明顯的特點,是回報與成本的共用性成規則排列。其中,雙獨立制度中,各個個體之間沒有聯繫,即回報與成本都相互獨立;而回報共享制度中各個個體的回報是共同的;成本公攤制度中各個個體的成本是共用的。
正是在孫氏圖上的這種差異,造成這三種制度結構的效果有很大差異:雙獨立制度下個體努力水平最優,回報共享制度下個體努力水平不足,導致產生效率低下,而成本公攤制度會導致個體努力水平過高,造成對資源的過度消耗和引起資源枯竭。
1.3福利分配製度——競爭制度
福利分配製度是一種把“福利”分配給各個個體的制度。在社會生活中,許多“福利”常常是有限的,無法滿足全部需求,因此需要把這些福利按一定的標準或原則“分配”給個體,以便使這些福利發揮最大的社會效益。比如接受高等教育的機會、工作機會、晉升機會、企業產品的市場份額等等,都是通過福利分配製度分配給個體的。
圖18 競爭制度的孫氏圖(雙個體)福利分配方面的基本制度結構只有一種,即競爭制度,其孫氏圖如圖18所示。
競爭是個體為了消除其它個體對自己的不利影響而採取的有針對性的謀求發展的行為。在現實中,競爭的例子很多,比如爭取工程項目時的競標、高等學校入學高考、各國的軍備競賽等等。
福利分配製度的孫氏圖的明顯特點,是個體之間在回報上交叉影響明顯。比如,在競爭制度的孫氏圖中,個體之間的交叉影響為在回報上相互壓制。
2五種基本制度結構的一些改進與變形
在現實社會中,為了提高制度的效果,常常需要針對某種基本制度結構的缺點進行改進。此外,為子某種特殊的需要,也常常把某種基本制度結構進行變形得到新的制度結構。
2.1三元行為懲罰制度
圖19三元行為懲罰制度的孫氏圖二元行為懲罰制度中,行為者的行為集中有兩個行為,一個是正常行為,一個是不良行為。但在一些情況下,也有行為集中有三個行為的情況。比如對員工的違紀行為懲罰制度,員工可以有三個行為進行選擇:不違紀、輕微違紀、嚴重違紀。在這種情況下,就可以把二元行為懲罰制度擴展成三元行為懲罰制度。如圖19
2.2具有成本補貼的回報共享制度
讀者在本書第九章將會看到,與雙獨立制度相比,回報共享制度下個體的努力水平偏低,為了解決這個問題,可以對回報共享制度進行改進,變成具有成本補貼的回報共享制度。
圖20 成本補貼回報共享制度(雙個體)具有成本補貼的回報共享制度的孫氏圖如圖20所示。
2.3並聯合作制度
一般的回報共享制度下,群體的效益是由各個個體的效益簡單相加而成的。但在一些合作性群體中,群體的效益大於各個個體的效益的簡單相加之和。這種群體本書稱為合作群體,相應地,這種合作群體的利益分配製度稱為合作制度。
圖21 並聯合作制度(雙個體並聯合作)有一種合作制度稱為“並聯合作制度”(關於什麼是並聯合作,什麼是串聯合作,讀者可以閱讀本書第九章)。其孫氏圖為圖21
2.4具有稅收的成本公攤制度
讀者在本書第九章將會看到,與雙獨立制度相比,成本公攤制度下個體的努力水平偏高,容易引起對資源的過度消耗從而降低生產效率。為了解決這個問題,可以對成本公攤制度進行改進,變成具有稅收的成本公攤制度。
圖22 具有稅收的成本公攤制度(雙個體)具有稅收的成本公攤制度的孫氏圖如圖22所示。
2.5帶有警察的競爭制度
一些領域中的常規競爭常常最後演變成惡性競爭,導致參與競爭的各方都遭受損失。為了解決這個問題,可以對競爭制度進行改進,變成帶有警察的競爭制度。
圖23 帶有警察的競爭制度(雙個體)帶有警察的競爭制度的孫氏圖如圖23所示。儘管該圖稍許複雜了一些,讀者還是可以看出圖23是在單純的競爭制度上改進得到的,即對兩個個體的努力水平各加上一個觀測器和抑制器。
