簡介
高可靠性電機驅動系統對於飛行器、電動汽車而言是非常重要的,容錯電機因其良好的帶故障運行能力而被廣泛關注。開關磁阻電機結構簡單,具有容錯電機的基本特性,可以通過容錯控制來保證平穩運行,但其效率低於永磁電機。然而,傳統的永磁電機因為永磁體位於轉子,導致電機結構不穩定,並且永磁體難於散熱,限制了在高可靠性領域的套用。近年來出現的定子永磁型電機,由於永磁體和繞組均置於電機的定子,而轉子上既無繞組也無永磁體。因此,具有效率高、轉子結構簡單以及永磁體易於散熱等優點。其中,尤以磁通切換永磁(flux-switching permanent-magnet,FSPM)電機功率密度最高。已有研究表明,該電機雖具有一定程度的容錯性能,但相間不具備磁隔離能力,故電機的容錯能力有待進一步提高。克服相間耦合的弊端,研究容錯式(fault-tolerant FSPM,FT-FSPM)電機結構,已成為當前國內外相關領域的研究熱點。採用每槽一套繞組結構,提高了相間獨立性,但其反電勢具有較高的諧波分量,會造成電機轉矩脈動過大。儘管通入諧波電流可以提升轉矩性能,但同時也會增加系統損耗和控制難度。如果採用 “每相四極”的方法來提高電機反電勢正弦度,勢必要面臨多極所帶來的開關頻率高等問題。具有正弦反電勢的 FT-FSPM 電機結構,具有較高的運行性能。然而,該電機的定子結構較為複雜,增加了電機加工的難度,限制了實際套用。而另一方面,增加電機的相數能夠有效增強電機容錯能力,並提升電機的轉矩性能。當然,採用全橋驅動的多相永磁容錯電機,更適合於航空航天等對系統成本要求不高的領域 。
結構與特性
五相容錯式磁通切換永磁電機 圖 1 為五相FT-FSPM 電機的截面圖。與傳統的FSPM 電機定子結構不同,FT-FSPM 電機不再使用U 型矽鋼片,而是E 型模組化矽鋼片,永磁體沿圓周夾在E 型矽鋼片之間。相鄰電樞齒間由容錯齒間隔,各電樞齒上的繞組在磁路上相互獨立,避免了相間短路故障的同時,即使某一相出現故障,依然可以通過控制其他正常相來實現容錯運行。
綜上,該10/19 極FT-FSPM 電機具有如下優點。首先,繼承了現有定子永磁型電機的優點,由於電機轉子上沒有永磁體,轉子結構簡單,機械穩定性好,克服了永磁體冷卻困難和機械不穩定性的弊端。其次,繞組結構模組化,每一相在電路和磁路上獨立。再次,奇數轉子極設計,使得電機定位轉矩低,反電勢正弦度高,宜於正弦波控制。同時,傳統的FSPM 電機存在轉矩脈動過大的問題,而所的電機由於採用多齒多相的結構,在很大程度上減小了轉矩脈動;而奇數轉子極可以有效降低定位轉矩。此外,該電機永磁體用量僅為傳統FSPM 電機的50%,可以在很大程度上降低製造成本。
五相容錯式磁通切換永磁電機 圖 2 為FT-FSPM 電機的工作原理圖。如圖所示,永磁體產生的磁通依據磁阻最小原則通過圖中所示的轉子齒和定子齒組成的路徑。當轉子運行到圖2(a)所示的Ⅰ位置,轉子齒、電樞齒及容錯齒構成一個磁路,繞組中的永磁磁鏈穿出定子齒進入轉子。當轉子運動到圖2(b)所示的Ⅱ位置時,磁鏈反向流出轉子進入定子齒。因此,隨著轉子的運動,磁鏈呈雙極性周期變化。
五相容錯式磁通切換永磁電機 為了分析電機的電磁性能,分別研究永磁體和電樞電流單獨作用時的磁場,如圖3 所示。從圖中可以看到,電機永磁體和繞組產生的磁場在磁路上是並聯的,互不影響。因此,即使繞組發生短路故障,電樞反應所產生的磁場也不會對永磁體工作點產生影響,有利於電機在高可靠性領域的套用。此外,電機相鄰兩相的磁場相互獨立,FT-FSPM 電機互感自感比遠低於傳統FSPM 電機,因此其容錯性能更好。
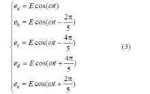
五相容錯式磁通切換永磁電機 圖 4 是電機轉速為400r/min 時的空載反電勢波形,並通過對反電勢波形頻譜分析,可以得出相應諧波成分。可知,FT-FSPM 電機反電勢具有較高的正弦性,總畸變率僅為3%(見表1)。這主要是由於雖然兩套繞組反電勢分別含有一定的諧波,但可以分別抵消,致使合成的相繞組反電勢諧波含量較小。
控制策略
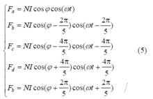
從圖 4 中可知,FT-FSPM 電機反電勢的正弦度較高,可表示為正常狀態下,為保證使電機輸出轉矩最大,向繞組中通入與反電勢同相位的相電流,即採用id0控制,其電流方程可以表示為
五相容錯式磁通切換永磁電機
五相容錯式磁通切換永磁電機 結合(3)、(4)兩式,通過計算可以得到此時電機五相繞組的磁動勢F 為
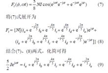
五相容錯式磁通切換永磁電機 式中:N 為每相繞組的匝數;E、I 分別為反電勢和相電流的幅值。由式(5)可以得到定子繞組的總磁動勢:
五相容錯式磁通切換永磁電機 將式(6)整理並採用歐拉公式分解,最後可以得到
五相容錯式磁通切換永磁電機 假設某一時刻電機A 相發生開路故障,僅通過調節其餘四相電流的幅值和相位來保持磁動勢不變,而對外圍設備不作任何改變,使電機在正常和容錯兩種狀態下輸出轉矩相等。實際上,式(9)是一個多解方程。基於銅耗最小及中心線電流為零原則,代入整理後,可得出一相開路情況下容錯控制的電流方程為
五相容錯式磁通切換永磁電機 若不相鄰的B、E 兩相開路,可以推出非故障相的容錯電流方程為但需要指出的是,上述容錯控制策略由於非故障相的電流幅值不等,會造成某一相電流幅值過大,進而易造成磁路飽和 。
仿真分析
五相容錯式磁通切換永磁電機 為了能夠更準確的分析電機性能,電機建立了場路耦合仿真模型,如圖6 所示。對電機進行聯合仿真,得到正常、故障和容錯3 種狀態下的電流和轉矩波形,分別如圖7、8 所示。可見,電機在正常運行狀態時,輸出轉矩較為平穩;在故障時電機的轉矩輸出脈動較大;當電機採用式(11)容錯控制策略,其轉矩脈動較小。對比了正常、故障和容錯3 種不同的運行狀態下的轉矩輸出特性。容錯控制策略提升了電機在故障條件下的轉矩性能。
五相容錯式磁通切換永磁電機 
