現象
互溶驅替過程中存在著兩種基本的擴散彌散現象:一種是分子擴散,一種是機械彌散或對流擴散。
分子擴散是由於驅替液與被馭替液的液度差引起的,驅油劑分於依靠本身的分子熱運動,從高濃度帶擴散到低濃度帶,最後趨子一種平衡狀態。這種分子擴散現象甚至在整個液體並無流動時也可能明顯地觀察到。
機械彌散現象是由於孔隙內部通道的複雜性引起的,由於這種複雜性,液體質點在孔隙中的方向和速度在每一點都有變化。因此,它將引起驅油劑在孔隙中不斷分散,並占據越來越大的空間。機械彌散既可以在層流中獲得,也可以在紊流中獲得。這種現象有時又叫做對流擴散。
化學驅提高採收率過程中,大多數情形是同時存在分子擴散與機械彌散現象,一般統稱為擴散彌散。
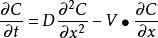
理想互溶驅替理論
擴散方程式:通常將不改變流體性質和不與而相起物理化學作用的擴散物質叫做理想擴散劑。理想擴散劑沿流動方向的擴散速度可以由費克(Fick)擴散定律表達。僅僅由於擴散現象引起的單位時間單位面積上驅油劑的質量流量可表達為:
互溶驅替式中
u——單位時間單位面積上驅油劑的質量流量,g/(cm · s);
D——擴散係數,包括分子擴散與對流擴散,cm /s;
C——擴散劑濃度,g/cm ;
x——沿流動方向的距離,cm。
考慮吸附和化學反應作用的互溶驅替理論
在化學驅過程中,除了擴散彌散作用外,還有吸附滯留和化學反應等大量物理化學作用,對互溶驅替過程產生較大影響。大多數情況下,驅油劑在液固界面上的吸附一般滿足Langmuir吸附等溫式,即:
互溶驅替式中
F——吸附量,mg/g或mg/L ;
C——化學劑溶液濃度,mg/L;
K——表征吸附量大小的參數,無量綱;
K——吸附常數,L/mg。
考慮黏度差異的互容驅替理論
在往油層中注化學劑溶濃時,將發生驅替液與被驅替液之間在接觸帶的互溶,從面形成一個混合帶,通過這個混合帶,液體之間的濃度和黏度等將發生變化,從一種單一液體的濃度變為另一種濃度,而與之相應的濃體黏度也要發生變化。聚合物溶液驅油就是利用聚合物的高黏度,改替流度比,提高波及效率,從而提高採收率。當高黏度的聚合物溶液與地層水接觸時,聚合物驅替液的濃度和黏度將發生顯著變化。
對於兩種戮度不同的濃體的擴散彌散問題,設在初始時刻戮度為μ的液體A線上性地層中驅替黏度為μ的液體B,在混合帶所產生的互溶混合可用如下形式:
式中
互溶驅替C——液體A的濃度;
V——液體的滲流速度;
D——混合係數。
意義
互溶驅替並不只是按照巨觀的達西定律流動,除達西定律而外,還受所謂的擴散彌散現象的控制口在實際驅替過程中,如果因為這類物化作用,使某些波及區的化學劑濃度大大降低,甚至為零,驅替過程將退化為水驅,產生了驅替過程的有效性和持久性問題。因此,研究互溶驅替理論與模型對於認識化學驅過程及其驅替機理具有十分重要的意義。

