帶通濾波器
概述
圖1.帶通濾波器的通帶一個模擬帶通濾波器的例子是電阻-電感-電容電路(RLC circuit)。這些濾波器也可以用低通濾波器同高通濾波器組合來產生。
一個理想的濾波器應該有一個完全平坦的通帶,例如在通帶內沒有增益或者衰減,並且在通帶之外所有頻率都被完全衰減掉,另外,通帶外的轉換在極小的頻率範圍完成。實際上,並不存在理想的帶通濾波器。濾波器並不能夠將期望頻率範圍外的所有頻率完全衰減掉,尤其是在所要的通帶外還有一個被衰減但是沒有被隔離的範圍。這通常稱為濾波器的滾降現象,並且使用每十倍頻的衰減幅度dB來表示。通常,濾波器的設計儘量保證滾降範圍越窄越好,這樣濾波器的性能就與設計更加接近。然而,隨著滾降範圍越來越小,通帶就變得不再平坦—開始出現“波紋”。這種現象在通帶的邊緣處尤其明顯,這種效應稱為吉布斯現象(Gibbs phenomenon)。
除了電子學和信號處理領域之外,帶通濾波器套用的一個例子是在大氣科學領域,很常見的例子是使用帶通濾波器過濾最近3到10天時間範圍內的天氣數據,這樣在數據域中就只保留了作為擾動的氣旋。
在頻帶較低的截止頻率f和較高的截止頻率f之間是共振頻率,這裡濾波器的增益最大,濾波器的頻寬就是f和f之間的差值。
吉布斯現象
吉布斯現象(英語:Gibbs phenomenon),由Henry Wilbraham於1848年最先提出,並由約西亞·吉布斯於1899年證明。在工程套用時常用有限正弦項正弦波疊加逼近原周期信號。所用的諧波次數N的大小決定逼近原波形的程度,N增加,逼近的精度不斷改善。但是由於對於具有不連續點的周期信號會發生一種現象:當選取的傅立葉級數的項數N增加時,合成的波形雖然更逼近原函式,但在不連續點附近會出現一個固定高度的過沖,N越大,過沖的最大值越靠近不連續點,但其峰值並不下降,而是大約等於原函式在不連續點處跳變值的9%,且在不連續點兩側呈現衰減振盪的形式。
雙二階濾波器
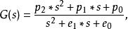
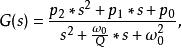
雙二階濾波器的傳遞函式有如下的形式:
二階帶通濾波器或
二階帶通濾波器
二階帶通濾波器分子二項式中係數 決定濾波器的類型。
參見
•帶阻濾波器
•高通濾波器
•低通濾波器
•雙二階濾波器
•原子線濾波器(Atomic line filter)

