
【英文名稱】procymidone;Sumisclex;Sumilex
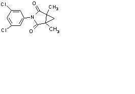
【結構或分子式】
分子結構:
分子中苯環C原子以及雙鍵C、O原子均以sp2雜化軌道形成σ鍵。
分子中其它C、N原子均以sp3雜化軌道形成σ鍵。
【相對分子量或原子量】284.06
【密度】1.452
【熔點(℃)】166
【蒸氣壓(Pa)】10.5mPa(20℃);
17.6mPa(25℃)
【毒性LD50(mg/kg)】
雄、雌大白屬急性經口分別為6800、7700,雄、雌小白鼠則分別為7800、9100,雄、雌大、小白鼠急性經皮2500以上。雄、雌小白鼠亞急性經口無作用量分別為22.0、835,雄、雌大白屬慢性經口無作用劑量分別為1000、300。魚毒TLm(mg/L):藍鰓魚10.25(96h),虹鱒7.22(96h),鯉魚110(48h),水虱40(48h)以上。允許殘留(mg/kg):果實3,蔬菜2,薯類0.2,豆類2。
【性狀】
純品為白色結晶。
【溶解情況】
可溶於丙酮、二甲苯、乙腈、氯仿、二甲基甲醯胺,微溶於四氯化碳、甲醇、乙醇、二甲苯,幾乎不溶於水。
【用途】
內吸殺菌劑。對葡萄孢屬核、旋孢腔菌屬、長蠕孢屬、盤菌屬有特效,對苯菌靈、甲基硫菌靈多菌靈有抗性的病源菌也有效,可與多菌靈等交替使用。能防治茄子、黃瓜、番茄、草莓、元蔥、花卉和葡萄的灰霉病以及由核盤菌屬引起的豆科、萵苣、胡椒等的莖腐病和桃棕腐病。
防治油菜菌核病,每畝次用50%可濕性粉劑33~50g,對水噴霧,間隔7~10天,噴藥1~2次;防治葡萄、番茄、草莓、黃瓜的灰霉病,用量同黃瓜菌核病;防治桃、櫻桃等果樹褐腐病,發病初期用1000~2000倍葉噴霧,間隔7~10天,噴藥1~2次;防治玉米、小斑病,每畝次用50~100g,對水噴霧1~2次,間隔7~10天。
【製備或來源】
2-甲基丙烯酸乙酯依次與2-氯丙酸乙酯和特丁醇鉀、氫氧化鈉、醋酐反應,製得1,2-二甲基環丙烷-1,2-三羧酸酐(Ⅰ)。往Ⅰ的苯溶葉中,滴加3,5-二氯苯胺的苯溶液,立即析出中間體醯胺酸,滴閉,攪拌30分鐘,減壓除去苯,往殘留物中加入醋酐和無水醋酸鈉,攪拌下在100℃加熱30~60分鐘,減壓蒸餾除去生成的醋酸和過量的醋酐,用稀氫氧化鈉溶液和水洗滌殘渣,乾燥後的腐霉利,熔點165~167℃。
【消耗定額(t/t)】
1,2-二甲基環丙烷-1,2-二羧酸酐 0.57 無水醋酸鈉 0.04
3,5-二氯苯胺 0.59 醋酐 0.18
【其他】
在酸性條件下穩定,在鹼性溶液中不穩定。原粉為白色或淺棕色結晶,相對密度1.42~1.46。
不能與鹼性藥劑混用,也不宜與有機磷農藥混配;以產生抗藥性,宜與其他殺菌劑輪換使用;皮膚沾染藥液,應立即用水、肥皂沖洗。眼睛濺入藥液,用大量水沖洗;如誤服,應洗胃,並防止入胃中物到氣管和肺中,請醫生對症治療。
【生產單位】
北京華戎生物激素廠;上海聯合化工廠;陝西西安近代化學研究所;山東鄒平縣農藥廠;北京植保製藥廠;內蒙古農牧業科技開發總公司;湖南省海利化工股份有限公司
