模型介紹
二項期權定價模型假設股價波動只有向上和向下兩個方向,且假設在整個考察期內,股價每次向上(或向下)波動的機率和幅度不變。模型將考察的存續期分為若干階段,根據股價的歷史波動率模擬出正股在整個存續期內所有可能的發展路徑,並對每一路徑上的每一節點計算權證行權收益和用貼現法計算出的權證價格。對於美式權證,由於可以提前行權,每一節點上權證的理論價格應為權證行權收益和貼現計算出的權證價格兩者較大者。
構建模型
1973年,布萊克和舒爾斯(Black and Scholes)提出了Black-Scholes期權定價模型,對標的資產的價格服從對數常態分配的期權進行定價。隨後,羅斯開始研究標的資產的價格服從非常態分配的期權定價理論。1976年,羅斯和約翰·考科斯(John Cox)在《金融經濟學雜誌》上發表論文“基於另類隨機過程的期權定價”,提出了風險中性定價理論。
1979年,羅斯、考科斯和馬克·魯賓斯坦(Mark Rubinstein)在《金融經濟學雜誌》上發表論文“期權定價:一種簡化的方法”,該文提出了一種簡單的對離散時間的期權的定價方法,被稱為Cox-Ross-Rubinstein二項式期權定價模型。
二項式期權定價模型和布萊克-休爾斯期權定價模型,是兩種相互補充的方法。二項式期權定價模型推導比較簡單,更適合說明期權定價的基本概念。二項式期權定價模型建立在一個基本假設基礎上,即在給定的時間間隔內,證券的價格運動有兩個可能的方向:上漲或者下跌。雖然這一假設非常簡單,但由於可以把一個給定的時間段細分為更小的時間單位,因而二項式期權定價模型適用於處理更為複雜的期權。
隨著要考慮的價格變動數目的增加,二項式期權定價模型的分布函式就越來越趨向於常態分配,二項式期權定價模型和布萊克-休爾斯期權定價模型相一致。二項式期權定價模型的優點,是簡化了期權定價的計算並增加了直觀性,因此現在已成為全世界各大證券交易所的主要定價標準之一。
一般來說,二項期權定價模型的基本假設是在每一時期股價的變動方向只有兩個,即上升或下降。BOPM的定價依據是在期權在第一次買進時,能建立起一個零風險套頭交易,或者說可以 使用一個證券組合來模擬期權的價值,該證券組合在沒有套利機會時應等於買權的價 格;反之,如果存在套利機會,投資者則可以買兩種產品種價格便宜者,賣出價格較高者,從而獲得無風險收益,當然這種套利機會只會在極短的時間裡存在。這一 證券組合的主要功能是給出了買權的定價方法。與期貨不同的是,期貨的套頭交易一旦建立就不用改變,而期權的套頭交易則需不斷調整,直至期權到期。
二叉樹思想
1:Black-Scholes方程模型優缺點:
優點:對歐式期權,有精確的定價公式;
缺點:對美式期權,無精確的定價公式,不可能求出解的表達式,而且數學推導和求解過程在金融界較難接受和掌握。
2:思想:
假定到期且只有兩種可能,而且漲跌幅均為10%的假設都很粗略。修改為:在T分為很多小的時間間隔Δt,而在每一個Δt,股票價格變化由S到Su或Sd。如果價格上揚機率為p,那么下跌的機率為1-p。
3:u,p,d的確定:
由Black-Scholes方程告訴我們:可以假定市場為風險中性。即股票預期收益率μ等於無風險利率r,故有:
二叉樹期權定價模型
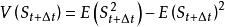
二叉樹期權定價模型(1)
二叉樹期權定價模型又因股票價格變化符合布朗運動,從而 (2)
二叉樹期權定價模型利用
得到
二叉樹期權定價模型(3)
二叉樹期權定價模型為了保證不同的路線的節點價格能夠重合,股價的上揚和下跌應滿足:(4)
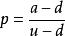
由(1),(3),(4)可解得:
二叉樹期權定價模型
二叉樹期權定價模型
二叉樹期權定價模型
二叉樹期權定價模型其中:。
4:結論:
在相等的充分小的Δt時段內,無論開始時股票價格如何。由(1)~(4)所確定的u,d和p都是常數。(即只與Δt,σ,r有關,而與S無關)。

