基本信息

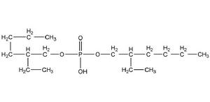
中文同義詞:雙(2-乙基己基)磷酸酯;酸式磷酸二異辛酯;二(2-乙基己基)磷酸酯;二異辛基磷酸;磷酸二辛酯;磷酸二異辛酯;2-乙基己基-2’-乙基己基磷酸酯;萃取劑P-204
英文名稱:Bis(2-ethylhexyl) phosphate
英文簡稱:DEPHA
CAS號: 298-07-7
分子式: C16H35O4P
分子量: 322.42
EINECS號: 206-056-4
理化性質
性狀:粘稠油狀液體,呈強酸性。熔點:60 °C(lit.)
沸點:48 °C (12 mmHg)
密度:0.965 g/mL at 25 °C(lit.)
折射率:n20/D 1.443(lit.)
閃點:>230 °F
溶解性:溶於一般有機溶劑和鹼中,不溶於水。
凝固點:-60℃
BRN:1712988
主要用途
1、色譜分析用作溶劑,也用作鈾和鈹的萃取劑2、用作稀土萃取劑,以及用於製取表面活性劑
3、溶劑,作用稀土金屬萃取劑,潤濕劑和表面活性劑的原料,塑膠增塑劑。該品有中等毒性,對眼、皮膚和黏膜有刺激性。
4、用於紡織、印染、日化等行業
安全數據
毒性分級:中毒急性毒性:口服-大鼠 LD50: 4940 毫克/公斤; 腹腔-小鼠 LDL0: 62.5 毫克/公斤
刺激數據:皮膚-兔子 500 毫克 中度; 眼睛-兔子 0.25 毫克/24小時 重度
爆炸物危險特性:一種有腐蝕性物品; 對眼睛和皮膚有強刺激性
可燃性危險特性:可燃;受熱分解有毒磷氧化物煙霧。
