
1999年8月26日中華人民共和國國務院發布《國務院關於實行公民身份號碼制度的決定》(國發[1999]15號),這個檔案規定自1999年10月1日起在全國建立和實行公民身份號碼制度。
組成方式
中華人民共和國國家標準GB11643-1999《公民身份號碼》中規定:公民身份號碼是特徵組合碼,由十七位數字本體碼和一位校驗碼組成。
18位數字組合的方式是:
●地址碼 (1--6位)指的是公民常住戶口所在縣(市、旗、區)的行政區劃代碼,如110102是北京市西城區。
●出生日期碼 (7--14位)表示公民出生的公曆年(4位)、月(2位)、日(2位)。
●順序碼 (15--17位)是給同地址碼同出生日期碼的人編定的順序號,其中奇數分配給男性,偶數分配給女性。
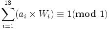
●最後一位是校驗碼,這裡採用的是ISO 7064:1983,MOD 11-2校驗碼系統,校驗公式是:(如圖)
校驗碼計算方法
1.將身份證號碼由左至右的17個號碼按照這個公式加權求和S(nx為由左至右的順序號,黑體數字為權數):
S=n1×7+n2×9+n3×10+n4×5+n5×8+n6×4+n7×2+n8×1+n9×6+n10×3+n11×7+n12×9+n13×10+n14×5+n15×8+n16×4+n17×2
2.以11對S取模Y=mod(S,11)
3.對應下表得出校驗碼,也就是以11對(12-Y)求模,公式:mod(12-Y,11)。如果餘數為10,驗證碼為X;不為10,餘數就是驗證碼。
Y 0 1 2 3 4 5 6 7 8 9 10
校驗碼 1 0 X 9 8 7 6 5 4 3 2
套用
●標記在中華人民共和國居民身份證上和所配套的資料庫中。(因此,1999年後“居民身份證號”就是“公民身份號碼”)
●標記在中華人民共和國居民戶口簿上和所配套的資料庫中。
●標記在中華人民共和國機動車駕駛證上和所配套的資料庫中。
●作為中國建設銀行的網上銀行用戶碼。
