基本介紹
下面是三角形不等式的幾種解釋:
(1)如果A與B是不同的兩個點,線段AB的長稱為這兩點之間的距離,假如點A與點B相重合,則這兩點之間的距離為零。下面定理所敘述的關於三點之間距離的性質稱為三角形不等式。
定理 若A、B、C為任意三點,不一定是三個不同的點,則距離AB不應大於兩距離之和AC+CB。
(2)以三角形的任兩邊之和總大於第三邊這一幾何事實為背景的不等式叫做三角形不等式,例如,距離公理中的
三角形不等式
三角形不等式
三角形不等式
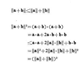
三角形不等式(3)三角形不等式指形如的不等式,其中x、y為實數或複數。當x、y是複數時,它等價於三角形的一條邊長小於另外兩條邊長之和,故得此名。在賦范線性空間中.三角形不等式形如,其中表示該空間的元素(向量)x的範數。特別在n維歐幾里得空間中。其形式為
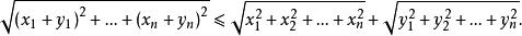
三角形不等式(4)三角形不等式也可以指三角形邊長關係的推廣,設V是歐氏空間,對V中任意兩個向量α,β,|α+β|≤|α|+|β|,此不等式稱為三角形不等式 。一般地,設α,α,…,α是歐氏空間的m個向量,則:
|α+α+…+α|≤|α|+|α|+…+|α|.
三角形不等式亦可表示為:
|α-β|≤|α-γ|+|γ-β|.
推廣此不等式,則得到托勒密不等式
|α-β|·|γ|≤|β-γ|·|α|+|γ-α|·|β|.
例題解析
下面問題里,a,b和c表示任意三角形的邊長 。
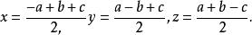
【例1】證明:a=y+z,b=x+z,c=x+y,其中x,y和z是正數。
提示解方程組x+y=c,x+z=b,y+z= a,得出
三角形不等式由三角形不等式得出x,y,z都是正數。
【例2】證明:a²+ b²+c²< 2(ab+bc+ca)。
提示 根據三角形不等式有:
a²>(b-c)²=b²-2bc+c²,
b²>a²-2ac+c²,
c²>a²-2ab + b²,
將這三個不等式相加,即得所證。
【例3】對任意自然數n,數a , b 和c 可以構成三角形,證明:數a,b和c中有兩個相等。
提示 可以認為a≥b≥c,我們證明a = b,實際上,如果b< a,則b≤λa,c≤λa,其中λ < 1,所以bⁿ+cⁿ≤2λⁿaⁿ,對充分大的n有2λⁿ<1並且導致同三角形不等式相矛盾。
【例4】證明:a(b-c)²+ b(c-a)²+c(a-b)²+4abc>a³+b³+b³。
提示 因為c(a-b)²+4abc=c(a+b)²,所以
a(b-c)²+b(c-a)²+c(a-b)²+4abc- a³-b³-c³=a((b-c)²-a²)+b((c- a)²-b²)+c((a-b)²-c²) =(a+b-c)(a-b+c)(-a+b+c)
(最後的等式用簡單的計算來檢驗),根據三角形不等式,全部三個因子都是正數 。

