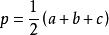
公式表述
三斜求積術:
三斜求積術像中國古代的數學家一樣,秦九韶的三斜求積術沒有證明。根據現代數學家吳文俊的研究,三斜求積術可由出入相補原理得出。而實際上古希臘數學家早在公元一世紀就提出了該公式。
海倫公式
以下是古希臘數學家海倫建立的海倫公式。它是利用三角形的三條邊的邊長直接求三角形面積的公式。表達式為:
三斜求積術
三斜求積術其中
它的特點是形式漂亮,便於記憶。
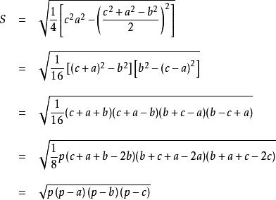
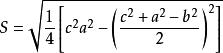
三斜求積術與海倫公式等價:
三斜求積術書籍記載
秦九韶以下是秦九韶的《數書九章》(Mathematical Treatise in Nine Sections):三斜求積術
問沙田一段,有三斜,其小斜一十三里,中斜一十四里,大斜一十五里,里法三百步,欲知為田幾何?
答曰:“三百一十五頃”
以小斜冪,並大斜冪,減中斜冪,余半之,自乘於上;以小斜冪乘大斜冪,減上,餘四約之,為實;一為從隅,開平方得積。
秦九韶他把三角形的三條邊分別稱為小斜、中斜和大斜。“術”即方法。三斜求積術就是用小斜平方加上大斜平方,減中斜平方,取餘數的一半的平方,而得一個數.小斜平方乘以大斜平方,減上面所得到的那個數。相減後餘數被4除,所得的數作為“實”,作1作為“隅”,開平方後即得面積。
所謂“實”、“隅”指的是,在方程px2=qk,p為“隅”,Q為“實”。
公式意義
中國宋代的數學家秦九韶在1247年獨立提出了“三斜求積術”,雖然它與海倫公式形式上有所不同,但它完全與古希臘數學家的海倫公式等價,它填補了中國數學史中的一個空白,從中可以看出中國古代已經具有很高的數學水平, 是我國數學史上的一顆明珠。

