簡介
一階保持(Frst-order hold、FOH)是一種重建信號的數學模型,可以透過傳統的數位類比轉換器(DAC)及稱為積分器的模擬電路完成。一階保持可以將訊號重建為分段線性近似原始訊號的函式。在實務上,像一階保持或零階保持之類的保持電路有其必要性。根據採樣定理,可以將離散後的訊號用狄拉克δ脈衝序列 x( t)表示,再經過低通濾波器即可還原到原始的訊號。不過實務上無法輸出狄拉克δ脈衝序列。利用傳統的數位類比轉換器以及一些線性類比電路就可以重建預測型或是延遲型的一階保持電路。
雖然在實務上的作法有所不同,但可以將假想的狄拉克δ脈衝序列 x( t)有特定特性的濾波器(若是線性時不變系統,可以用衝激回響完全描述其特性),因此每一個脈衝輸入都可以產生正確的分段線性輸出。
基本的一階保持
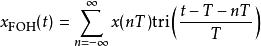
一階保持是利用假想的濾波器或是線性時不變系統,將理想的取樣訊號
一階保持
一階保持轉換為分段線性的訊號。
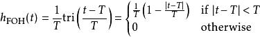
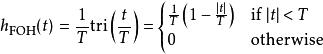
一階保持所得到的等效衝激回響為
一階保持
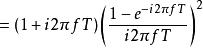
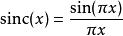
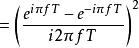
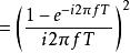
一階保持其中 是三角形函式。等效頻率回響是衝激回響的傅立葉變換
一階保持
一階保持
一階保持
一階保持
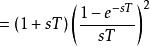
一階保持其中 是正規化的Sinc函式。可以令 s= i2 π f,得到FOH傳遞函式的拉普拉斯變換:
一階保持
一階保持
一階保持因為一階保持濾波器的衝激回響在t小於0時就已有值,因此此系統是反因果系統。
延遲一階保持
延遲一階保持(Delayed first-order hold)有時也稱為 因果一階保持(causal first-order hold)和一階保持相同,但輸出會延遲一個取樣周期才輸出,因此會有延遲的分段連續信號
一階保持其等效衝激回響為
一階保持
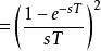
一階保持其中 為三角形函式。等效頻率回響是衝激回響的傅立葉變換
一階保持
一階保持
一階保持
一階保持可以令 s= i2 π f,得到FOH傳遞函式的拉普拉斯變換:
一階保持
一階保持
一階保持延遲一階保持為因果系統。衝激回響在t小於0時沒有值。這類的延遲一階保持可以用增益為 H( z) = 1 − z的數字濾波器,將數字濾波器( x[ n]− x[ n−1])的輸出送到傳統的數位類比轉換器(本質上是零階保持),再用 H( s) = 1/( sT)來積分DAC的輸出。
預測型一階保持
預測型一階保持(predictive first-order hold)和上二一個一階保持的差異較大,預測型一階保持是因果系統的假想線性時不變系統,可以將理論取樣信號
一階保持
一階保持
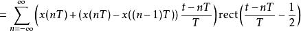
一階保持轉換為分段線性輸出信號,會用目前取樣以及上一次的取様來線性外推下一個取樣點,此濾波器的輸出為
一階保持
一階保持
一階保持其等效衝激回響為
一階保持
一階保持
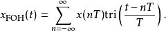
一階保持其中為rect(x)矩形函式,而tri(x)為三角形函式。
等效頻率回響為衝激回響的傅立葉變換。
一階保持
一階保持
一階保持
一階保持其中sinc(x)為Sinc函式。可以令s = i 2 π f,得到FOH傳遞函式的拉普拉斯變換:
一階保持
一階保持
一階保持此為因果系統。預測型一階保持的衝激回響不會在輸入脈衝之前就出現。這種分段線性的重建信號方式可以用增益 H( z) = 1 − z。
相關條目
•採樣定理
•零階保持
•雙線性插值
