滿足條件
一元十次方程必須同時滿足三個條件:
①是整式方程,即等號兩邊都是整式:方程中如果有分母,且未知數在分母上,那么這個方程就是分式方程,不是一元十次方程;方程中如果有根號,且未知數在根號內,那么這個方程就是無理方程,也不是一元十次方程。
②只含有一個未知數;
③未知數項的最高次數是十。
方程形式
一般形式
一元十次方程求根公式其中:a,b,c,d,e,f,g,h,j,k,l被稱為方程的係數(零次項係數也稱為常數項),且都為實數。x被稱為變數。
使得方程左右兩邊相等的未知數x的值被稱為方程的解。也叫做這個一元十次方程的根。對於任意一個實係數一元十次方程,其總有十個根(可能存在重根或虛根),並且虛根總是成對出現。
變形式(特殊形式)
缺項式:方程僅有十次項和常數項。
對稱式:方程的各項係數呈對稱形態。
1.缺項式:方程僅有十次項和常數項。
2.對稱式:方程的各項係數呈對稱形態。
分解式
a(x-x)(x-x)(x-x)(x-x)(x-x)(x-x)(x-x)(x-x)(x-x)(x-x)=0
其中:x(n=1,2,3,4,5,6,7,8,9,10)被稱為該一元十次方程的十個根。
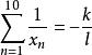
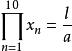
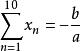
根與係數的關係
一元十次方程求根公式
一元十次方程求根公式
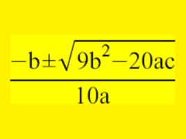
一元十次方程求根公式完整公式
由於公式不方便直接輸入,故使用圖片。
一元十次方程求根公式-圖片1
一元十次方程求根公式-圖片2
一元十次方程求根公式-圖片3例題
由於公式數量過多,故無法將例題一一列舉。詳見參考資料-一元十次方程求根公式。
計算機代碼實現
用Javascript編寫的網頁版一元十次方程求解工具已經存在。以下是其script部分代碼。
| function myFunction() { var a=Number(document.getElementById("a").value) var b=Number(document.getElementById("b").value) var c=Number(document.getElementById("c").value) var d=Number(document.getElementById("d").value) var e=Number(document.getElementById("e").value) var f=Number(document.getElementById("f").value) var g=Number(document.getElementById("g").value) var h=Number(document.getElementById("h").value) var j=Number(document.getElementById("j").value) var k=Number(document.getElementById("k").value) var l=Number(document.getElementById("l").value) var E=9*b*b-20*a*c var F=6*b*b*b-20*a*b*c+25*a*a*d var G=28*b*b*c-175*a*b*d+400*a*a*e var H=14*b*b*b*c-105*a*b*b*d+375*a*a*b*e-625*a*a*a*f var J=28*b*b*b*b*c-245*a*b*b*b*d+1200*a*a*b*b*e-4000*a*a*a*b*f+8000*a*a*a*a*g var K=2*b*b*b*b*b*c-20*a*b*b*b*b*d+125*a*a*b*b*b*e-625*a*a*a*b*b*f+2500*a*a*a*a*b*g-6250*a*a*a*a*a*h var L=7*b*b*b*b*b*d-130*a*b*b*b*b*e+1450*a*a*b*b*b*f-12200*a*a*a*b*b*g+78500*a*a*a*a*b*h-320000*a*a*a*a*a*j var M=b*b*b*b*b*b*d-20*a*b*b*b*b*b*e+250*a*a*b*b*b*b*f-2500*a*a*a*b*b*b*g+21250*a*a*a*a*b*b*h-150000*a*a*a*a*a*b*j+750000*a*a*a*a*a*a*k var N=3*b*b*b*b*b*b*e-100*a*b*b*b*b*b*f+2050*a*a*b*b*b*b*g-33625*a*a*a*b*b*b*h+485000*a*a*a*a*b*b*j-6425000*a*a*a*a*a*b*k+80000000*a*a*a*a*a*a*l var A=2*E*E-5*a*G var B=4*E*E*E-15*a*E*G-25*a*J var C=14*E*E*E*E+50*a*a*G*G-70*a*E*E*G-100*a*E*J+125*a*a*L var D=-8*E*E*E*E*E+50*a*E*E*E*G+250*a*E*E*J-625*a*a*E*L+250*a*a*a*N var delta=D*D-16*A*A*A*A*A if(E==0 && F==0 && G==0 && H==0 && J==0 && K==0 && L==0 && M==0 && N==0) { var x01=-b/(10*a) var x02=-b/(10*a) var x03=-b/(10*a) var x04=-b/(10*a) var x05=-b/(10*a) var x06=-b/(10*a) var x07=-b/(10*a) var x08=-b/(10*a) var x09=-b/(10*a) var x10=-b/(10*a) } else if(F==0 && H==0 && K==0 && M==0 && A==0 && B==0 && C==0 && D==0) { if(9*b*b>20*a*c) { var x01=(-b+Math.sqrt(9*b*b-20*a*c))/(10*a) var x02=(-b+Math.sqrt(9*b*b-20*a*c))/(10*a) var x03=(-b+Math.sqrt(9*b*b-20*a*c))/(10*a) var x04=(-b+Math.sqrt(9*b*b-20*a*c))/(10*a) var x05=(-b+Math.sqrt(9*b*b-20*a*c))/(10*a) var x06=(-b-Math.sqrt(9*b*b-20*a*c))/(10*a) var x07=(-b-Math.sqrt(9*b*b-20*a*c))/(10*a) var x08=(-b-Math.sqrt(9*b*b-20*a*c))/(10*a) var x09=(-b-Math.sqrt(9*b*b-20*a*c))/(10*a) var x10=(-b-Math.sqrt(9*b*b-20*a*c))/(10*a) } else { var x01=-b/(10*a)+"+"+Math.sqrt(20*a*c-9*b*b)/Math.abs(10*a)+"i" var x02=-b/(10*a)+"+"+Math.sqrt(20*a*c-9*b*b)/Math.abs(10*a)+"i" var x03=-b/(10*a)+"+"+Math.sqrt(20*a*c-9*b*b)/Math.abs(10*a)+"i" var x04=-b/(10*a)+"+"+Math.sqrt(20*a*c-9*b*b)/Math.abs(10*a)+"i" var x05=-b/(10*a)+"+"+Math.sqrt(20*a*c-9*b*b)/Math.abs(10*a)+"i" var x06=-b/(10*a)+"-"+Math.sqrt(20*a*c-9*b*b)/Math.abs(10*a)+"i" var x07=-b/(10*a)+"-"+Math.sqrt(20*a*c-9*b*b)/Math.abs(10*a)+"i" var x08=-b/(10*a)+"-"+Math.sqrt(20*a*c-9*b*b)/Math.abs(10*a)+"i" var x09=-b/(10*a)+"-"+Math.sqrt(20*a*c-9*b*b)/Math.abs(10*a)+"i" var x10=-b/(10*a)+"-"+Math.sqrt(20*a*c-9*b*b)/Math.abs(10*a)+"i" } } else if(F==0 && H==0 && K==0 && M==0 && B==0 && C==0 && delta==0) { if(4*A*A*E-2*D>=0) { var x01=(-2*A*b+Math.sqrt(4*A*A*E-2*D))/(20*a*A) var x06=(-2*A*b-Math.sqrt(4*A*A*E-2*D))/(20*a*A) } else { var x01=-b/(10*a)+"+"+Math.sqrt(2*D-4*A*A*E)/Math.abs(20*a*A)+"i" var x06=-b/(10*a)+"-"+Math.sqrt(2*D-4*A*A*E)/Math.abs(20*a*A)+"i" } if(2*D+8*A*A*(2*E+Math.sqrt(5*A))>=0) { var x02=(-4*A*b+Math.sqrt(2*D+8*A*A*(2*E+Math.sqrt(5*A))))/(40*a*A) var x03=(-4*A*b+Math.sqrt(2*D+8*A*A*(2*E+Math.sqrt(5*A))))/(40*a*A) var x07=(-4*A*b-Math.sqrt(2*D+8*A*A*(2*E+Math.sqrt(5*A))))/(40*a*A) var x08=(-4*A*b-Math.sqrt(2*D+8*A*A*(2*E+Math.sqrt(5*A))))/(40*a*A) } else { var x02=-b/(10*a)+"+"+Math.sqrt(-(2*D+8*A*A*(2*E+Math.sqrt(5*A))))/Math.abs(40*a*A)+"i" var x03=-b/(10*a)+"+"+Math.sqrt(-(2*D+8*A*A*(2*E+Math.sqrt(5*A))))/Math.abs(40*a*A)+"i" var x07=-b/(10*a)+"-"+Math.sqrt(-(2*D+8*A*A*(2*E+Math.sqrt(5*A))))/Math.abs(40*a*A)+"i" var x08=-b/(10*a)+"-"+Math.sqrt(-(2*D+8*A*A*(2*E+Math.sqrt(5*A))))/Math.abs(40*a*A)+"i" } if(2*D+8*A*A*(2*E-Math.sqrt(5*A))>=0) { var x04=(-4*A*b+Math.sqrt(2*D+8*A*A*(2*E-Math.sqrt(5*A))))/(40*a*A) var x05=(-4*A*b+Math.sqrt(2*D+8*A*A*(2*E-Math.sqrt(5*A))))/(40*a*A) var x09=(-4*A*b-Math.sqrt(2*D+8*A*A*(2*E-Math.sqrt(5*A))))/(40*a*A) var x10=(-4*A*b-Math.sqrt(2*D+8*A*A*(2*E-Math.sqrt(5*A))))/(40*a*A) } else { var x04=-b/(10*a)+"+"+Math.sqrt(-(2*D+8*A*A*(2*E-Math.sqrt(5*A))))/Math.abs(40*a*A)+"i" var x05=-b/(10*a)+"+"+Math.sqrt(-(2*D+8*A*A*(2*E-Math.sqrt(5*A))))/Math.abs(40*a*A)+"i" var x09=-b/(10*a)+"-"+Math.sqrt(-(2*D+8*A*A*(2*E-Math.sqrt(5*A))))/Math.abs(40*a*A)+"i" var x10=-b/(10*a)+"-"+Math.sqrt(-(2*D+8*A*A*(2*E-Math.sqrt(5*A))))/Math.abs(40*a*A)+"i" } } else if(F==0 && H==0 && K==0 && M==0 && B==0 && C==0 && delta>0) { var z1=(D+Math.sqrt(D*D-16*A*A*A*A*A))/4 var z2=(D-Math.sqrt(D*D-16*A*A*A*A*A))/4 var y1=E*E-(-1+Math.sqrt(5))/2*E*(Math.sign(z1)*Math.pow(Math.abs(z1),1/5)+Math.sign(z2)*Math.pow(Math.abs(z2),1/5))+(Math.sign(z1)*Math.pow(Math.abs(z1),1/5)+Math.sign(z2)*Math.pow(Math.abs(z2),1/5))*(Math.sign(z1)*Math.pow(Math.abs(z1),1/5)+Math.sign(z2)*Math.pow(Math.abs(z2),1/5))-(5+Math.sqrt(5))/2*A var y2=E*E-(-1-Math.sqrt(5))/2*E*(Math.sign(z1)*Math.pow(Math.abs(z1),1/5)+Math.sign(z2)*Math.pow(Math.abs(z2),1/5))+(Math.sign(z1)*Math.pow(Math.abs(z1),1/5)+Math.sign(z2)*Math.pow(Math.abs(z2),1/5))*(Math.sign(z1)*Math.pow(Math.abs(z1),1/5)+Math.sign(z2)*Math.pow(Math.abs(z2),1/5))-(5-Math.sqrt(5))/2*A var x02=(-2*b+Math.sqrt(2*E+(1-Math.sqrt(5))*(Math.sign(z1)*Math.pow(Math.abs(z1),1/5)+Math.sign(z2)*Math.pow(Math.abs(z2),1/5))/2+2*Math.sqrt(y1)))/(20*a)+"+"+Math.sqrt(-2*E-(1-Math.sqrt(5))*(Math.sign(z1)*Math.pow(Math.abs(z1),1/5)+Math.sign(z2)*Math.pow(Math.abs(z2),1/5))/2+2*Math.sqrt(y1))/Math.abs(20*a)+"i" var x03=(-2*b-Math.sqrt(2*E+(1-Math.sqrt(5))*(Math.sign(z1)*Math.pow(Math.abs(z1),1/5)+Math.sign(z2)*Math.pow(Math.abs(z2),1/5))/2+2*Math.sqrt(y1)))/(20*a)+"+"+Math.sqrt(-2*E-(1-Math.sqrt(5))*(Math.sign(z1)*Math.pow(Math.abs(z1),1/5)+Math.sign(z2)*Math.pow(Math.abs(z2),1/5))/2+2*Math.sqrt(y1))/Math.abs(20*a)+"i" var x04=(-2*b+Math.sqrt(2*E+(1+Math.sqrt(5))*(Math.sign(z1)*Math.pow(Math.abs(z1),1/5)+Math.sign(z2)*Math.pow(Math.abs(z2),1/5))/2+2*Math.sqrt(y2)))/(20*a)+"+"+Math.sqrt(-2*E-(1+Math.sqrt(5))*(Math.sign(z1)*Math.pow(Math.abs(z1),1/5)+Math.sign(z2)*Math.pow(Math.abs(z2),1/5))/2+2*Math.sqrt(y2))/Math.abs(20*a)+"i" var x05=(-2*b-Math.sqrt(2*E+(1+Math.sqrt(5))*(Math.sign(z1)*Math.pow(Math.abs(z1),1/5)+Math.sign(z2)*Math.pow(Math.abs(z2),1/5))/2+2*Math.sqrt(y2)))/(20*a)+"+"+Math.sqrt(-2*E-(1+Math.sqrt(5))*(Math.sign(z1)*Math.pow(Math.abs(z1),1/5)+Math.sign(z2)*Math.pow(Math.abs(z2),1/5))/2+2*Math.sqrt(y2))/Math.abs(20*a)+"i" var x07=(-2*b+Math.sqrt(2*E+(1-Math.sqrt(5))*(Math.sign(z1)*Math.pow(Math.abs(z1),1/5)+Math.sign(z2)*Math.pow(Math.abs(z2),1/5))/2+2*Math.sqrt(y1)))/(20*a)+"-"+Math.sqrt(-2*E-(1-Math.sqrt(5))*(Math.sign(z1)*Math.pow(Math.abs(z1),1/5)+Math.sign(z2)*Math.pow(Math.abs(z2),1/5))/2+2*Math.sqrt(y1))/Math.abs(20*a)+"i" var x08=(-2*b-Math.sqrt(2*E+(1-Math.sqrt(5))*(Math.sign(z1)*Math.pow(Math.abs(z1),1/5)+Math.sign(z2)*Math.pow(Math.abs(z2),1/5))/2+2*Math.sqrt(y1)))/(20*a)+"-"+Math.sqrt(-2*E-(1-Math.sqrt(5))*(Math.sign(z1)*Math.pow(Math.abs(z1),1/5)+Math.sign(z2)*Math.pow(Math.abs(z2),1/5))/2+2*Math.sqrt(y1))/Math.abs(20*a)+"i" var x09=(-2*b+Math.sqrt(2*E+(1+Math.sqrt(5))*(Math.sign(z1)*Math.pow(Math.abs(z1),1/5)+Math.sign(z2)*Math.pow(Math.abs(z2),1/5))/2+2*Math.sqrt(y2)))/(20*a)+"-"+Math.sqrt(-2*E-(1+Math.sqrt(5))*(Math.sign(z1)*Math.pow(Math.abs(z1),1/5)+Math.sign(z2)*Math.pow(Math.abs(z2),1/5))/2+2*Math.sqrt(y2))/Math.abs(20*a)+"i" var x10=(-2*b-Math.sqrt(2*E+(1+Math.sqrt(5))*(Math.sign(z1)*Math.pow(Math.abs(z1),1/5)+Math.sign(z2)*Math.pow(Math.abs(z2),1/5))/2+2*Math.sqrt(y2)))/(20*a)+"-"+Math.sqrt(-2*E-(1+Math.sqrt(5))*(Math.sign(z1)*Math.pow(Math.abs(z1),1/5)+Math.sign(z2)*Math.pow(Math.abs(z2),1/5))/2+2*Math.sqrt(y2))/Math.abs(20*a)+"i" if(E-(Math.sign(z1)*Math.pow(Math.abs(z1),1/5)+Math.sign(z2)*Math.pow(Math.abs(z2),1/5))>=0) { var x01=(-b+Math.sqrt(E-(Math.sign(z1)*Math.pow(Math.abs(z1),1/5)+Math.sign(z2)*Math.pow(Math.abs(z2),1/5))))/(10*a) var x06=(-b-Math.sqrt(E-(Math.sign(z1)*Math.pow(Math.abs(z1),1/5)+Math.sign(z2)*Math.pow(Math.abs(z2),1/5))))/(10*a) } else { var x01=-b/(10*a)+"+"+Math.sqrt(-(E-(Math.sign(z1)*Math.pow(Math.abs(z1),1/5)+Math.sign(z2)*Math.pow(Math.abs(z2),1/5))))/Math.abs(10*a)+"i" var x06=-b/(10*a)+"-"+Math.sqrt(-(E-(Math.sign(z1)*Math.pow(Math.abs(z1),1/5)+Math.sign(z2)*Math.pow(Math.abs(z2),1/5))))/Math.abs(10*a)+"i" } } else if(F==0 && H==0 && K==0 && M==0 && B==0 && C==0 && delta<0) { var theta=Math.acos(D/(4*A*A*Math.sqrt(A))) if(E-2*Math.sqrt(A)*Math.cos(theta/5)>=0) { var x01=(-b+Math.sqrt(E-2*Math.sqrt(A)*Math.cos(theta/5)))/(10*a) var x06=(-b-Math.sqrt(E-2*Math.sqrt(A)*Math.cos(theta/5)))/(10*a) } else { var x01=-b/(10*a)+"+"+Math.sqrt(-(E-2*Math.sqrt(A)*Math.cos(theta/5)))/Math.abs(10*a)+"i" var x06=-b/(10*a)+"-"+Math.sqrt(-(E-2*Math.sqrt(A)*Math.cos(theta/5)))/Math.abs(10*a)+"i" } if(E+Math.sqrt(A)*((1-Math.sqrt(5))*Math.cos(theta/5)/2+Math.sqrt(10+2*Math.sqrt(5))*Math.sin(theta/5)/2)>=0) { var x02=(-b+Math.sqrt(E+Math.sqrt(A)*((1-Math.sqrt(5))*Math.cos(theta/5)/2+Math.sqrt(10+2*Math.sqrt(5))*Math.sin(theta/5)/2)))/(10*a) var x07=(-b-Math.sqrt(E+Math.sqrt(A)*((1-Math.sqrt(5))*Math.cos(theta/5)/2+Math.sqrt(10+2*Math.sqrt(5))*Math.sin(theta/5)/2)))/(10*a) } else { var x02=-b/(10*a)+"+"+Math.sqrt(-(E+Math.sqrt(A)*((1-Math.sqrt(5))*Math.cos(theta/5)/2+Math.sqrt(10+2*Math.sqrt(5))*Math.sin(theta/5)/2)))/Math.abs(10*a)+"i" var x07=-b/(10*a)+"-"+Math.sqrt(-(E+Math.sqrt(A)*((1-Math.sqrt(5))*Math.cos(theta/5)/2+Math.sqrt(10+2*Math.sqrt(5))*Math.sin(theta/5)/2)))/Math.abs(10*a)+"i" } if(E+Math.sqrt(A)*((1-Math.sqrt(5))*Math.cos(theta/5)/2-Math.sqrt(10+2*Math.sqrt(5))*Math.sin(theta/5)/2)>=0) { var x03=(-b+Math.sqrt(E+Math.sqrt(A)*((1-Math.sqrt(5))*Math.cos(theta/5)/2-Math.sqrt(10+2*Math.sqrt(5))*Math.sin(theta/5)/2)))/(10*a) var x08=(-b-Math.sqrt(E+Math.sqrt(A)*((1-Math.sqrt(5))*Math.cos(theta/5)/2-Math.sqrt(10+2*Math.sqrt(5))*Math.sin(theta/5)/2)))/(10*a) } else { var x03=-b/(10*a)+"+"+Math.sqrt(-(E+Math.sqrt(A)*((1-Math.sqrt(5))*Math.cos(theta/5)/2-Math.sqrt(10+2*Math.sqrt(5))*Math.sin(theta/5)/2)))/Math.abs(10*a)+"i" var x08=-b/(10*a)+"-"+Math.sqrt(-(E+Math.sqrt(A)*((1-Math.sqrt(5))*Math.cos(theta/5)/2-Math.sqrt(10+2*Math.sqrt(5))*Math.sin(theta/5)/2)))/Math.abs(10*a)+"i" } if(E+Math.sqrt(A)*((1+Math.sqrt(5))*Math.cos(theta/5)/2+Math.sqrt(10-2*Math.sqrt(5))*Math.sin(theta/5)/2)>=0) { var x04=(-b+Math.sqrt(E+Math.sqrt(A)*((1+Math.sqrt(5))*Math.cos(theta/5)/2+Math.sqrt(10-2*Math.sqrt(5))*Math.sin(theta/5)/2)))/(10*a) var x09=(-b-Math.sqrt(E+Math.sqrt(A)*((1+Math.sqrt(5))*Math.cos(theta/5)/2+Math.sqrt(10-2*Math.sqrt(5))*Math.sin(theta/5)/2)))/(10*a) } else { var x04=-b/(10*a)+"+"+Math.sqrt(-(E+Math.sqrt(A)*((1+Math.sqrt(5))*Math.cos(theta/5)/2+Math.sqrt(10-2*Math.sqrt(5))*Math.sin(theta/5)/2)))/Math.abs(10*a)+"i" var x09=-b/(10*a)+"-"+Math.sqrt(-(E+Math.sqrt(A)*((1+Math.sqrt(5))*Math.cos(theta/5)/2+Math.sqrt(10-2*Math.sqrt(5))*Math.sin(theta/5)/2)))/Math.abs(10*a)+"i" } if(E+Math.sqrt(A)*((1+Math.sqrt(5))*Math.cos(theta/5)/2-Math.sqrt(10-2*Math.sqrt(5))*Math.sin(theta/5)/2)>=0) { var x05=(-b+Math.sqrt(E+Math.sqrt(A)*((1+Math.sqrt(5))*Math.cos(theta/5)/2-Math.sqrt(10-2*Math.sqrt(5))*Math.sin(theta/5)/2)))/(10*a) var x10=(-b-Math.sqrt(E+Math.sqrt(A)*((1+Math.sqrt(5))*Math.cos(theta/5)/2-Math.sqrt(10-2*Math.sqrt(5))*Math.sin(theta/5)/2)))/(10*a) } else { var x05=-b/(10*a)+"+"+Math.sqrt(-(E+Math.sqrt(A)*((1+Math.sqrt(5))*Math.cos(theta/5)/2-Math.sqrt(10-2*Math.sqrt(5))*Math.sin(theta/5)/2)))/Math.abs(10*a)+"i" var x10=-b/(10*a)+"-"+Math.sqrt(-(E+Math.sqrt(A)*((1+Math.sqrt(5))*Math.cos(theta/5)/2-Math.sqrt(10-2*Math.sqrt(5))*Math.sin(theta/5)/2)))/Math.abs(10*a)+"i" } } else if(E==0 && F==0 && G==0 && J==0 && K==0 && L==0 && M==0 && H!=0) { if(256*H*H>=5*a*N) { var x01=(-b+Math.sign(5*a*(16*H+Math.sqrt(256*H*H-5*a*N)))*Math.pow(Math.abs(5*a*(16*H+Math.sqrt(256*H*H-5*a*N))),1/5))/(10*a) var x02=(-4*b-(1+Math.sqrt(5))*Math.sign(5*a*(16*H+Math.sqrt(256*H*H-5*a*N)))*Math.pow(Math.abs(5*a*(16*H+Math.sqrt(256*H*H-5*a*N))),1/5))/(40*a)+"+"+Math.abs(Math.sqrt(10-2*Math.sqrt(5))*Math.sign(5*a*(16*H+Math.sqrt(256*H*H-5*a*N)))*Math.pow(Math.abs(5*a*(16*H+Math.sqrt(256*H*H-5*a*N))),1/5)/(40*a))+"i" var x03=(-4*b-(1+Math.sqrt(5))*Math.sign(5*a*(16*H-Math.sqrt(256*H*H-5*a*N)))*Math.pow(Math.abs(5*a*(16*H-Math.sqrt(256*H*H-5*a*N))),1/5))/(40*a)+"+"+Math.abs(Math.sqrt(10-2*Math.sqrt(5))*Math.sign(5*a*(16*H-Math.sqrt(256*H*H-5*a*N)))*Math.pow(Math.abs(5*a*(16*H-Math.sqrt(256*H*H-5*a*N))),1/5)/(40*a))+"i" var x04=(-4*b-(1-Math.sqrt(5))*Math.sign(5*a*(16*H+Math.sqrt(256*H*H-5*a*N)))*Math.pow(Math.abs(5*a*(16*H+Math.sqrt(256*H*H-5*a*N))),1/5))/(40*a)+"+"+Math.abs(Math.sqrt(10+2*Math.sqrt(5))*Math.sign(5*a*(16*H+Math.sqrt(256*H*H-5*a*N)))*Math.pow(Math.abs(5*a*(16*H+Math.sqrt(256*H*H-5*a*N))),1/5)/(40*a))+"i" var x05=(-4*b-(1-Math.sqrt(5))*Math.sign(5*a*(16*H-Math.sqrt(256*H*H-5*a*N)))*Math.pow(Math.abs(5*a*(16*H-Math.sqrt(256*H*H-5*a*N))),1/5))/(40*a)+"+"+Math.abs(Math.sqrt(10+2*Math.sqrt(5))*Math.sign(5*a*(16*H-Math.sqrt(256*H*H-5*a*N)))*Math.pow(Math.abs(5*a*(16*H-Math.sqrt(256*H*H-5*a*N))),1/5)/(40*a))+"i" var x06=(-b+Math.sign(5*a*(16*H-Math.sqrt(256*H*H-5*a*N)))*Math.pow(Math.abs(5*a*(16*H-Math.sqrt(256*H*H-5*a*N))),1/5))/(10*a) var x07=(-4*b-(1+Math.sqrt(5))*Math.sign(5*a*(16*H+Math.sqrt(256*H*H-5*a*N)))*Math.pow(Math.abs(5*a*(16*H+Math.sqrt(256*H*H-5*a*N))),1/5))/(40*a)+"-"+Math.abs(Math.sqrt(10-2*Math.sqrt(5))*Math.sign(5*a*(16*H+Math.sqrt(256*H*H-5*a*N)))*Math.pow(Math.abs(5*a*(16*H+Math.sqrt(256*H*H-5*a*N))),1/5)/(40*a))+"i" var x08=(-4*b-(1+Math.sqrt(5))*Math.sign(5*a*(16*H-Math.sqrt(256*H*H-5*a*N)))*Math.pow(Math.abs(5*a*(16*H-Math.sqrt(256*H*H-5*a*N))),1/5))/(40*a)+"-"+Math.abs(Math.sqrt(10-2*Math.sqrt(5))*Math.sign(5*a*(16*H-Math.sqrt(256*H*H-5*a*N)))*Math.pow(Math.abs(5*a*(16*H-Math.sqrt(256*H*H-5*a*N))),1/5)/(40*a))+"i" var x09=(-4*b-(1-Math.sqrt(5))*Math.sign(5*a*(16*H+Math.sqrt(256*H*H-5*a*N)))*Math.pow(Math.abs(5*a*(16*H+Math.sqrt(256*H*H-5*a*N))),1/5))/(40*a)+"-"+Math.abs(Math.sqrt(10+2*Math.sqrt(5))*Math.sign(5*a*(16*H+Math.sqrt(256*H*H-5*a*N)))*Math.pow(Math.abs(5*a*(16*H+Math.sqrt(256*H*H-5*a*N))),1/5)/(40*a))+"i" var x10=(-4*b-(1-Math.sqrt(5))*Math.sign(5*a*(16*H-Math.sqrt(256*H*H-5*a*N)))*Math.pow(Math.abs(5*a*(16*H-Math.sqrt(256*H*H-5*a*N))),1/5))/(40*a)+"-"+Math.abs(Math.sqrt(10+2*Math.sqrt(5))*Math.sign(5*a*(16*H-Math.sqrt(256*H*H-5*a*N)))*Math.pow(Math.abs(5*a*(16*H-Math.sqrt(256*H*H-5*a*N))),1/5)/(40*a))+"i" } else { var theta=Math.acos(16*H/Math.sqrt(5*a*N)) var x01=(-b+Math.sign(a)*Math.pow(Math.abs(5*a),1/5)*Math.pow(5*a*N,1/10)*Math.cos(theta/5))/(10*a)+"+"+Math.abs(Math.pow(Math.abs(5*a),1/5)*Math.pow(5*a*N,1/10)*Math.sin(theta/5)/(10*a))+"i" var x02=(-b+Math.sign(a)*Math.pow(Math.abs(5*a),1/5)*Math.pow(5*a*N,1/10)*Math.cos((theta+2*Math.PI)/5))/(10*a)+"+"+Math.abs(Math.pow(Math.abs(5*a),1/5)*Math.pow(5*a*N,1/10)*Math.sin((theta+2*Math.PI)/5)/(10*a))+"i" var x03=(-b+Math.sign(a)*Math.pow(Math.abs(5*a),1/5)*Math.pow(5*a*N,1/10)*Math.cos((theta-2*Math.PI)/5))/(10*a)+"+"+Math.abs(Math.pow(Math.abs(5*a),1/5)*Math.pow(5*a*N,1/10)*Math.sin((theta-2*Math.PI)/5)/(10*a))+"i" var x04=(-b+Math.sign(a)*Math.pow(Math.abs(5*a),1/5)*Math.pow(5*a*N,1/10)*Math.cos((theta+4*Math.PI)/5))/(10*a)+"+"+Math.abs(Math.pow(Math.abs(5*a),1/5)*Math.pow(5*a*N,1/10)*Math.sin((theta+4*Math.PI)/5)/(10*a))+"i" var x05=(-b+Math.sign(a)*Math.pow(Math.abs(5*a),1/5)*Math.pow(5*a*N,1/10)*Math.cos((theta-4*Math.PI)/5))/(10*a)+"+"+Math.abs(Math.pow(Math.abs(5*a),1/5)*Math.pow(5*a*N,1/10)*Math.sin((theta-4*Math.PI)/5)/(10*a))+"i" var x06=(-b+Math.sign(a)*Math.pow(Math.abs(5*a),1/5)*Math.pow(5*a*N,1/10)*Math.cos(theta/5))/(10*a)+"-"+Math.abs(Math.pow(Math.abs(5*a),1/5)*Math.pow(5*a*N,1/10)*Math.sin(theta/5)/(10*a))+"i" var x07=(-b+Math.sign(a)*Math.pow(Math.abs(5*a),1/5)*Math.pow(5*a*N,1/10)*Math.cos((theta+2*Math.PI)/5))/(10*a)+"-"+Math.abs(Math.pow(Math.abs(5*a),1/5)*Math.pow(5*a*N,1/10)*Math.sin((theta+2*Math.PI)/5)/(10*a))+"i" var x08=(-b+Math.sign(a)*Math.pow(Math.abs(5*a),1/5)*Math.pow(5*a*N,1/10)*Math.cos((theta-2*Math.PI)/5))/(10*a)+"-"+Math.abs(Math.pow(Math.abs(5*a),1/5)*Math.pow(5*a*N,1/10)*Math.sin((theta-2*Math.PI)/5)/(10*a))+"i" var x09=(-b+Math.sign(a)*Math.pow(Math.abs(5*a),1/5)*Math.pow(5*a*N,1/10)*Math.cos((theta+4*Math.PI)/5))/(10*a)+"-"+Math.abs(Math.pow(Math.abs(5*a),1/5)*Math.pow(5*a*N,1/10)*Math.sin((theta+4*Math.PI)/5)/(10*a))+"i" var x10=(-b+Math.sign(a)*Math.pow(Math.abs(5*a),1/5)*Math.pow(5*a*N,1/10)*Math.cos((theta-4*Math.PI)/5))/(10*a)+"-"+Math.abs(Math.pow(Math.abs(5*a),1/5)*Math.pow(5*a*N,1/10)*Math.sin((theta-4*Math.PI)/5)/(10*a))+"i" } } document.getElementById("x01").innerHTML=x01 document.getElementById("x02").innerHTML=x02 document.getElementById("x03").innerHTML=x03 document.getElementById("x04").innerHTML=x04 document.getElementById("x05").innerHTML=x05 document.getElementById("x06").innerHTML=x06 document.getElementById("x07").innerHTML=x07 document.getElementById("x08").innerHTML=x08 document.getElementById("x09").innerHTML=x09 document.getElementById("x10").innerHTML=x10 } |

