基本信息
球體的定義
定義:一個半圓繞直徑所在直線旋轉一周所成的空間幾何體叫做球體,如圖所示的圖形為球體。
球體球體是一個連續曲面的立體圖形,由球面圍成的幾何體稱為球體。
世界上沒有絕對的球體。絕對的球體只存在於理論中。
但在失重環境(如太空)中,液滴自動形成絕對球體。
球體的組成
球的表面是一個曲面,這個曲面就叫做球面。
球和圓類似,也有一個中心叫做球心。
球體數學
數學中的球體
球體基本概念
半圓以它的直徑為旋轉軸,旋轉所成的曲面叫做球面。
球面所圍成的幾何體叫做球體,簡稱球。
半圓的圓心叫做球心。
連線球心和球面上任意一點的線段叫做球的半徑。
連線球面上兩點並且經過球心的線段叫做球的直徑。
球體性質
用一個平面去截一個球,截面是圓面。球的截面有以下性質:
1 球心和截面圓心的連線垂直於截面。
2 球心到截面的距離d與球的半徑R及截面的半徑r有下面的關係:r^2=R^2-d^2
球面被經過球心的平面截得的圓叫做大圓,被不經過球心的截面截得的圓叫做小圓。
在球面上,兩點之間的最短連線的長度,就是經過這兩點的大圓在這兩點間的一段劣弧的長度,我們把這個弧長叫做兩點的球面距離。
球體函式
球體半徑為r的球的方程為:
球體的計算公式
球體半徑是R的球的體積計算公式是:
球體半徑是R的球的表面積計算公式是:
圖1證明:
球體證:
球體
球體欲證 ,可證
做一個半球h=r, 做一個圓柱h=r(如圖1)
∵V柱-V錐
= π×r^3- π×r^3/3
=2/3π×r^3
∴若猜想成立,則V柱-V錐=V半球
根據 祖暅原理:夾在兩個平行平面之間的兩個立體圖形,被平行於這兩個平面的任意平面所截,如果所得的兩個截面面積相等,那么,這兩個立體圖形的體積相等。
∴若猜想成立,兩個平面:S1(圓)=S2(環)
1.從半球高h點截一個平面 根據公式可知此面積為π×(r^2-h^2)^0.5^2=π×(r^2-h^2)
2.從圓柱做一個與其等底等高的圓錐:V錐 根據公式可知其右側環形的面積為π×r^2-π×r×h/r=π×(r^2-h^2)
∵π×(r^2-h^2)=π×(r^2-h^2)
∴V柱-V錐=V半球
∵V柱-V錐=π×r^3-π×r^3/3=2/3π×r^3
∴V半球=2/3π×r^3
由V半球可推出V球=2×V半球=4/3×πr^3
證畢
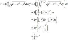
解:積分區域如圖
,圓的半徑為r,求球體體積的方法很多,較容易讓人理解的是用重積分的方法。
解:積分區域如圖,圓的半徑為r
積分區域
球體
