基本介紹
本反應是由仲烴基溴(較典型)與三苯磷作用生成葉立德(Ylides,分子內兩性離子),後者與醛或酮反應(Wittig 反應),給出烯烴和氧化三苯磷,反應形式(如圖):
Wittig 反應這是極有價值的合成烯烴的一般方法。根據中間體葉立德的穩定性可分為 不穩定的葉立德的反應 和 穩定的葉立德的反應 。
1.不穩定的葉立德的反應
當 RR'CHBr 中,R 和R' 是氫原子或簡單烷基,則烴基三苯基磷鹽的 α-H 酸性較弱,需較強的鹼(常用叔丁基鋰或苯基鋰)才能生成葉立德,剛生成的葉立德活性很高,是類似格氏試劑那樣強的親核試劑,能迅速地在溫和條件下與醛或酮起反應給出加成物,反應不可逆。加成物可自發分解給出烯烴。
產物如有立體異構,則一般得到 E 和 Z 的混合物.
如用苯基鋰製備葉立德,並且使反應在較低溫度下進行,則產物以 E 異構體為主。
2.穩定的葉立德的反應
當 RR'CHBr 中,R 或R' 是一個-M 基團(吸電子基團,如酯基),則烴基三苯基磷鹽的去質子化可以在較弱的鹼性條件下實現,並且產生的葉立德較穩定,可以分離,其活性相對較弱,一般需與親電性較強的羰基反應。當產物有主體異構存在時,E- 異構體通常占優。
套用
一、Wittig反應的主要用於合成各種含烯鍵的化合物。
(1)環外烯鍵化合物的合成:Wittig反應生成的烯鍵處於原來的羰基位置,一般不會發生異構化,可以製得能量上不利的環外雙鍵化合物。例:
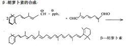
wittig反應(2)共軛多烯化合物的合成:Wittig試劑與α,β-不飽和醛反應時,不發生1,4-加成,雙鍵位置固定。利用此特性可合成許多共軛多烯化合物。如β-胡蘿蔔素的合成
wittig反應二、Wittig反套用於製備醛和酮:採用α—鹵代醚製成Wittig試劑,然後與醛或酮反應得烯醚化合物,再經水解生成醛,提供了合成醛、酮的一個新方法。
wittig反應三、 Wittig反應還可用於酯環烴,芳烴,炔類衍生物,亞氨基化合物,偶氮化合物,雜環化合物等的合成。
wittig反應
