基本介紹
u圖也稱單位缺陷數控制圖,是—種類似C圖的計數控制圖。當C圖的缺陷數很少時,如每個單位的平均缺陷數不到一個時,在實際檢驗中發現的缺陷數只能是整數。在控制圖上只能出現0和1,偶然出現2或3。這種情況適合採用單位缺陷數控制圖,即每次抽取n個單位,計運算元樣的平均單位缺陷數,
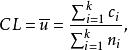
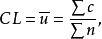
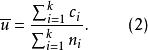
u圖(其中c為子樣中n個單位的缺陷總數)。u圖的中心線為
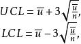
u圖上下控制界限分別為:
u圖
u圖(式中CL為中心線,UCL為控制上限,LCL為控制下限, 為單忙缺陷數的均值) 。
u圖的畫法
畫法步驟:
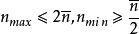
(1)做好作圖的準備工作;確定質量特性,樣本大小(要使每個樣本平均說來至少有一個缺陷),樣本個數一般不應少於25,確定抽樣間隔和抽樣地點 。
(2)抽取預備數據,並將每個樣本的缺陷數記人數據表。
(3)計算樣本的單位缺陷數及其均值。
u圖
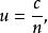
u圖式中:為第i個樣本的缺陷數:
u圖為第i個樣本的大小;
u圖為第i個樣本的單位缺陷數;
u圖(4)計算中心線及控制限,
a. 一般計算公式:
u圖
u圖(總缺陷數/樣本大小總和)
u圖
u圖
u圖式中上下控制限需按樣本大小分別計算,其中及數值可查表。
b. 近似計算公式:
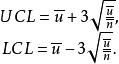
u圖當時,可按下列近似公式計算:
u圖
u圖
u圖
u圖
u圖式中及數值可查表。
若遇落在近似公式所得控制限附近的點子,要按一般計算公式重新計算控制限,以確定該點究竟是在限內或在限外。
(5)橫坐標為抽樣間隔或樣本序號,縱坐標為缺陷數u,中心線用實線表示,控制限用虛線表示。
(6)打點,把各樣本的u值點在u圖上。
(7)判斷生產過程是否處於統計控制狀態 。
如滿足過程質量要求,且生產過程處於統計控制狀態,可以將上述分析用控制圖轉化為控制用控制圖。

