算法意義
MUSIC算法是空間譜估計發展史上具有里程碑意義的算法,它實際上已經成為空間譜估計方法和理論的重要基石。其特點是測向解析度高;對信號個數、DOA、極化、噪聲干擾強度、來波的強度和相干關係可以進行漸近無偏估計;可以解決多徑信號的DOA估計問題;可以用於高密度信號環境下的無線測向。如果噪聲子空間大於信號子空間,MUSIC算法有更好的性能。
假設基礎
MUSIC算法是建立在以下假設基礎上的:
(1)陣列形式為線性均勻陣,陣元間距不大於處理最高頻率信號波長的二分之一;
(2)信號源數小於陣元的數目,以確保陣列流型矩陣的各個列線性獨立;
(3)處理器的噪聲為加性高斯分布,不同陣元間距噪聲均為平穩隨機過程,各陣元間噪聲相互獨立,空間平穩(各噪聲方差相等);
(4)空間信號為零均值平穩隨機過程,信號與陣源噪聲與相互獨立;
(5)信號源通常為窄帶遠場信號。正是由於MUSIC算法在特定的條件下具有很高的分辨力、估計精度及穩定性,從而吸引了大量的學者對其進行深入的研究和分析。
MUSIC算法
經典MUSIC算法
窄帶遠場信號的DOA數學模型為
music[空間譜估計算法]陣列矩陣的協方差矩陣為
music[空間譜估計算法]
music[空間譜估計算法]由於信號和噪聲相互獨立,數據協方差矩陣可以分解為信號和噪聲。為信號部分。
對R進行特徵分解,有
music[空間譜估計算法]
music[空間譜估計算法]
music[空間譜估計算法]公式前項為大特徵值對應特徵矢量張成的信號子空間,後項為噪聲小特徵值對應特徵矢量張成的噪聲子空間。
由於理想條件下信號與噪聲相互獨立,信號子空間與噪聲子空間相互正交,信號子空間中的導向矢量也與噪聲子空間相互正交
music[空間譜估計算法]基於該性質,可以得到經典的MUSIC算法。考慮到實際接收數據矩陣是有限長的,則數據協方差矩陣的最大似然估計為
music[空間譜估計算法]
music[空間譜估計算法]
music[空間譜估計算法]
music[空間譜估計算法]
music[空間譜估計算法]對進行特徵分解可以計算得到噪聲子空間特徵矢量矩陣。由於噪聲的存在,和並不能完全正交,因此DOA是以最小最佳化搜尋實現的,即
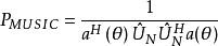
music[空間譜估計算法]所以,MUSIC算法的譜估計公式為
music[空間譜估計算法]算法步驟
由陣列的接收數據得到數據協方差矩陣;
對協方差矩陣進行特徵分解;
由協方差矩陣的特徵值進行信號源數判斷;
確定信號子空間和噪聲子空間;
根據信號參數範圍進行譜峰搜尋;
找出極大值點對應的角度就是信號入射方向。
1.由陣列的接收數據得到數據協方差矩陣;
2.對協方差矩陣進行特徵分解;
3.由協方差矩陣的特徵值進行信號源數判斷;
4.確定信號子空間和噪聲子空間;
5.根據信號參數範圍進行譜峰搜尋;
6.找出極大值點對應的角度就是信號入射方向。
