原型:double log (double x);
頭檔案:math.h
功能:計算以e 為底的對數值。
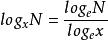
備註:計算任意數X為底的對數,可以利用對數的換底性質。
log[C語言中的數學函式]
log[C語言中的數學函式]
log[C語言中的數學函式] 如計算且。
log[C語言中的數學函式] log是C語言中的數學函式,發明者是蘇格蘭的納皮爾,可以計算以e 為底的對數值。
原型:double log (double x);
頭檔案:math.h
功能:計算以e 為底的對數值。
備註:計算任意數X為底的對數,可以利用對數的換底性質。
log[C語言中的數學函式]
log[C語言中的數學函式]
log[C語言中的數學函式] 如計算且。
log[C語言中的數學函式] log是C語言中的數學函式,發明者是蘇格蘭的納皮爾,可以計算以e 為底的對數值。
程式語言中預先定義的函式。 具體:嵌入到主調函式中的函式稱為內置函式,又稱內嵌函式。 作用是提高程式的執行效率,大多程式語言都有自己的內置函式,如jav...
函式定義 JavaScript VB函式是指一段在一起的、可以做某一件事兒的程式。也叫做子程式、(OOP中)方法。 一個較大的程式一般應分為若干個程式塊,每一個模組用來實現一個特定的功能。...
概念 庫函式對於區間[a,b]上連續不斷且f(a)·f(b)
定義 典型算法 求法 計算機套用對於區間[a,b]上連續不斷且f(a)·f(b)
定義 典型算法 求法 計算機套用(這些函式看起來與C 語言的字元串處理函式相似,其使用方式與C語言中... yacc 和 lex ,當然還從 C 語言中獲取了一些優秀的思想。在最初創造... 命令行參數序列數組,下標從0開始。CONVFMT 數字轉換格式,和C語言中...
特點 調用方式 使用 運算與判斷 流程控制言中的運算量有常量、變數、數組和數組元素、標準函式和自定義函式等。對數值...言中,帶有後綴“%”的“整型”常量與數學中常用的百分數的表示方法是不同的。比如百分之三十,在QBASIC語言中只能表示成0.3 或 30/100...
QBASIC語言的數據類型 常量和變數 標準函式 運算符和表達式函式的話,最好用int語句加工一下:比如c=int(c) 'c是你自己...的字元稱之為"字元串"4) 函式像一個"黑箱", 有參數和返回值, 用"="左邊的變數可以接住返回值5) Inputbox函式彈出一個輸入對話框...
內容概要 運算 代碼舉例函式,就需要編寫頗為複雜的程式。因為C語言的語句中沒有提供直接計算sin或cos函式的語句。又如為了顯示一段文字,我們在C語言中也找不到顯示語句...提供了sin和cos函式,可以拿來直接調用。顯示一段文字,我們在C語言中...
簡介 內容 相關區別 內置函式館