簡介
kappa係數是一種衡量分類精度的指標。它是通過把所有地表真實分類中的像元總數(N)乘以混淆矩陣對角線(Xkk)的和,再減去某一類地表真實像元總數與該類中被分類像元總數之積對所有類別求和的結果,再除以總像元數的平方減去某一類地表真實像元總數與該類中被分類像元總數之積對所有類別求和的結果所得到的 。
計算公式
kappa係數
kappa係數其中,是每一類正確分類的樣本數量之和除以總樣本數,也就是總體分類精度 。
假設每一類的真實樣本個數分別為a1,a2,...,aC,而預測出來的每一類的樣本個數分別為b1,b2,...,bC
總樣本個數為n,則有:
結果分析
kappa計算結果為-1~1,但通常kappa是落在 0~1 間,可分為五組來表示不同級別的一致性:0.0~0.20極低的一致性(slight)、0.21~0.40一般的一致性(fair)、0.41~0.60 中等的一致性(moderate)、0.61~0.80 高度的一致性(substantial)和0.81~1幾乎完全一致(almost perfect)。
示例
Kappa係數示例上圖就是個混淆矩陣,
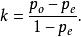
kappa係數其中,
kappa係數因此:
kappa係數
