定義
函式
arctan的反函式,記作
arctan叫做 反正切函式。反正切函式是反三角函式的一種。(圖像如圖實線部分)
圖像性質
定義域
arctan反正切函式的定義域為 。
值域
arctan反正切函式的值域為 。
計算性質
下面不加證明地給出若干性質。
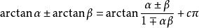
•反正切函式滿足
arctan
arctan
arctan
arctan最後一式稱為反正切相加(減)定理。
•反三角公式在無窮小替換公式中。
arctan
arctan當 時, 。
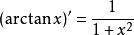
•反三角函式的導數
arctan
