概念
TM模(TM mode)是指在波導中,磁場的縱向分量為零,而電場的縱向分量不為零的傳播模式。
TM模在傳播方向上有電場分量而無磁場分量,稱為橫磁波。在平面光波導(封閉腔結構)中,電磁場分量有Hy, Ex, Ez,傳播方向為z方向。
TM模
TM模
TM模
TM模
TM模
TM模系統中電磁波的磁場分量都位於傳輸方向的垂直面上,在傳輸方向上的分量為零,即=0,,這樣的波稱為橫磁波,簡稱為TM波。對於TM波,,=0,故利用磁矢量位的分量或電場的分量來表達場量關係比較簡便。令
TM模
TM模
TM模
TM模
TM模
TM模
TM模
TM模
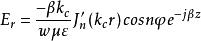
TM模其中,與具有相同的邊界條件,通過求解波方程能獲得。如同分析TE波的過程,我們也能得到與的關係,以及TM波的場量與或的普遍關係式。
TM模
TM模
TM模
TM模
TM模TM波的橫向電場與橫向磁場、傳輸方向三者之間相互垂直並成右螺旋關係,||與||之比,或與相互垂直分量振幅之比值等於常數,具有阻抗量綱,稱為TM波的波阻抗。
基本原理
TM模的成立條件
TM模
TM模
TM模
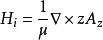
TM模使代表磁矢量位的分量,即=,令,得到
TM模
TM模
TM模
TM模
TM模根據的邊界條件,在r=R波導壁上=0,得
TM模
TM模
TM模
TM模即對於已給定的R和n,只能取的跟才能夠使式子得到滿足。
電磁波分解成TM、TE兩種模式
TM模
TM模根據矢量分析的一般原理,任何矢量可用一個旋轉矢量(其散度為零)與另一個非旋轉矢量(其旋度為零)疊加表示,因此矢量、可表示成
TM模
TM模
TM模
TM模而且、滿足
TM模
TM模
TM模
TM模因此,與旋轉度為零的非旋轉矢量對應的,其散度為零。

