定義
採用薄膜工藝,把閥金屬(鉭、鈦、鋯等)薄膜陽極化形成的二極體叫做薄膜二極體(Thin Film Diode,TFD),其整流特性和再現性較差,而用硫化鎘、硒化鎬等材料在基片上做成的薄膜結構二極體的整流特性較好,其耐壓可達15~20伏。
1971年Lechner第一個將二極體套用於有源矩陣液晶顯示器,最初的想法只是想要將無源矩陣所令人詬病的串擾降低,後來衍生出二極體驅動液晶顯示器。以非晶矽材料所構成的PIN結構一般稱為薄膜二極體,它具有較佳的非線性電阻特性。
由於TFT耗電高而且成本高昂,這無疑增加了可用性和手機成本,因此TFD技術被手機螢幕巨頭精工愛普生開發出來專門用在手機螢幕上。它是TFT和STN的折中,有著比STN更好的亮度和色彩飽和度,卻又比TFT更省電。TFD的特點在於“高畫質、超低功耗、小型化、動態影像的顯示能力以及快速的反應時間”。TFD的顯示原理在於它為LCD上每一個像素都配備了一顆單獨的二極體來作為控制源,由於這樣的單獨控制設計,使每個像素之間不會互相影響,因此在TFD的畫面上能夠顯現無殘影的動態畫面 和鮮艷的色彩。和TFT一樣TFD也是有源矩陣驅動。
原理
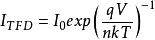
TFD 薄膜二極體具有較佳的非線性電阻特性,其電壓電流曲線可以用傳統的二極體方程式表示:
TFD 其中, 為飽和電流,n為理想因子。
TFD 當外加逆偏壓於薄膜二極體時,由於本徵區域的耗盡效應阻擋了電子空穴的運動,二極體處於截止狀態(Cut-Off),其漏電流非常低,而當外加長正偏壓高於二極體閾值電壓時,電流急速地增加,因此可以有較快的導通速度與高於 的開關比(On/Off Ratio)。使得二極體導通形成非線性電阻,由於電流快速增加容易產生軟性擊穿,因此為了避免這類破壞性的損傷,本徵區域的厚度與澱積條件就顯得重要了。
結構
由於薄膜二極體具有整流的非對稱電壓電流特性,若單獨使用二極體就會產生直流電壓造成液晶的極化。單一薄膜二極體無法完成液晶顯示器交流的驅動方式,所以任何用薄膜二極體原理的像素都必須採用兩枚以上的二極體器件。常用的TFD像素結構有:Back-to-Back組態、Diode Ring組態、Bridge組態與Double DiodePlus Reset(D2R)組態。
TFD
TFD 一般而言,Back-to-Back組態的閾值電壓為 15V,而Diode Ring組態約為 0.6V。利用兩個或多個二極體串聯或並聯組成的組態可以達到較高的擊穿電壓與類似的MIM二極體的對稱特性。而多個二極體配合額外並聯掃描線的組態使用可以達到電路冗餘與雙開關對稱的功能,當其中一薄膜二極體失效時,電流可以經由另一條路徑而降低像素的缺陷。然而薄膜二極體中非晶矽的不穩態缺陷與可靠性易造成非預期的漂移,再加上工藝上的重複性與均勻性不佳,因此套用於要求嚴格的顯示器上似乎不太合適。
製造方式
TFD
TFD
TFD
TFD 薄膜二極體矩陣的製造方式較MIM二極體複雜,一般需要經過三至五次光刻與多次澱積的流程,通常第一層金屬採用鉻(Cr),經過圖形化之後,採取電漿輔助化學氣相澱積的方式形成非晶矽PIN結構,利用 、 與 的混合澱積硼摻雜區、本徵區與磷摻雜區,再濺射金屬鉻作為刻蝕PIN結構的硬式光刻掩膜(Hard Mask)。為了保護薄膜二極體通常使用 做保護層,接著在澱積ITO電極,最後濺射連線薄膜二極體與ITO電極的金屬,一般採用鋁(Al)、鉬(Mo)或鎳(Ni)等金屬材料。由於非晶矽對於光的敏感性高,容易因光產生漏電流,因此必須用金屬層包覆以避免光照。相較於MIM二極體簡單且高良率、高重複性的工藝,薄膜二極體的矩陣製造的似乎比較不受量產製造商的青睞。
套用
薄膜二極體的一個套用為保護電路,由於液晶顯示器在製造及環境中常會遇到異常的脈衝,因此利用薄膜二極體作為靜電放電的保護電路,可將異常狀況排除,以確保面板良率與畫面品質。

