TDOA是一種無線定位技術。
不同於TOA,TDOA(到達時間差)是通過檢測信號到達兩個基站

該定位技術可套用於各種移動通信系統,尤其適用於CDMA系統,CDMA系統用擴頻方式將信號頻譜擴展到很寬的範圍,使系統具有較強的抗多徑能力。CDMA屬非功率敏感系統"信號衰減對時間測量的精度影響較小。TDOA法與TOA法比較優點之一是:當計算TDOA值時,計算誤差對所有的基站是相同的且其和為零,這些誤差包括公共的多徑時延和同步誤差。 但由於功率控制造成離服務基站近的移動台發射功率小,使得與服務基站相鄰的(參與定位的另一基站接收到的功率非常小(即相鄰基站的SNR太小),造成比較大的測量誤差。TDOA算法
TDOA算法是對TOA算法的改進,他不是直接利用信號到達時間,而是用多個基站接收到信號的時間差來確定移動台位置,與TOA算法相比他不需要加入專門的時間戳,定位精度也有所提高。TDOA值的獲取一般有2種形式:
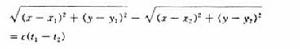
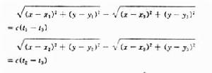
第1種形式是利用移動台到達2個基站的時間TOA,取其差值來獲得,這時仍需要基站時間的嚴格同步,但是當兩基站間移動信道傳輸特性相似時,可減少由多徑效應帶來的誤差,如圖3所示。
根據到達時間差獲得的TDOA方程為:
TDOA算法 |
TDOA算法 |
TDOA算法 |
TDOA算法
TDOA算法
TDOA算法