海浪音樂
海浪搖滾的第一波由Dick Dale和他的單曲“Let Go Trippin”掀起。在加利福尼亞州取得了成功。但是這類歌曲的靈感來自於無數的樂隊――像Chantays樂隊和Surfaris樂隊,他們在全國範圍內得到了認可(個別的如Pipeline和Wipe Out),幾乎所有的這些樂隊都在力爭創造又一類的單一打擊樂取得突破。海浪搖滾的第二次高潮被Beach Boys樂隊掀起。他們把Four Freshmen的流行風和Chuck Berry中的海浪搖滾韻律相結合。象Jan&Ronny &the Day tonas這些後來的樂隊,但Beach Boys仍然堅持著為聽眾帶去最後的海浪音樂,因為他們把富感染力的海灘和海浪聲融入歌詞中,而非以印象派的音樂取而代之。儘管如此,在60年代的藝術家們中間,海浪搖滾得到了廣泛的嘗試,而且一直流行到90年代,在此不得不對那些海浪搖滾作出影響的幾代人。
代表:the Beach Boys
自動檢查系統
Settlement Utility for Managing Risk& Finance
是貨運單據一致與否自動檢查系統。
函式名
函式surf的作用:畫三維曲面(色)圖,起作用與mesh相似
surf(X,Y,Z) X、Y、Z中Z通常是X,Y的函式,即Z(X,Y)。X、Y通常是通過調用meshgrid函式生成的數據格線(具體參見meshgrid)。 surf(Z) surf(...,C) surf(...,'PropertyName',PropertyValue,...) surf(axes_handles,...) 相關函式:mesh,meshc, meshz
SURF算法
Herbert Bay (左) 加速穩健特徵(Speeded Up Robust Features, SURF)是一個穩健的圖像識別和描述算法,首先於2006年發表在歐洲計算機視覺國際會議(Europeon Conference on Computer Vision,ECCV)。該算法可被用於計算機視覺任務,如物件識別和3D重構。他部分的靈感來自於SIFT算法。SURF標準的版本比SIFT要快數倍,並且其作者聲稱在不同圖像變換方面比SIFT更加穩健。SURF 基於近似的2D 離散小波變換回響和並且有效地利用了積分圖。
該算法由Herbert Bay於2006年首次發表於ECCV,2008年正式發表在Computer vision and image understanding期刊上,論文被引9000餘次。
算法介紹
作為尺度不變特徵變換(SIFT)算法的加速版,SURF算法在適中的條件下完成兩幅圖像中物體的匹配基本實現了實時處理,其快速的基礎實際上只有一個——積分圖像haar求導。
算法原理
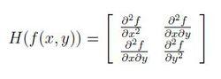
Hessian矩陣是SURF算法的核心,為了方便運算,假設函式f(x,y),Hessian矩陣H是由函式的二階偏導數組成:
Surf[海浪搖滾] ![Surf[海浪搖滾] Surf[海浪搖滾]](/img/d/333/nBnauM3XxMTMycTM5MzMyIzN0QTMwITOzEDMwADMwAjMwIzLzMzL3AzLt92YucmbvRWdo5Cd0FmLyE2LvoDc0RHa.jpg)
