簡介
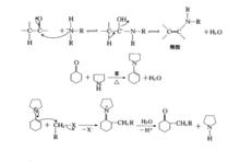
Stork烯胺反應是閉環反應的一種變異,反應中要用如毗咯烷之類較大體積的胺,這樣能夠使對甲基乙烯酮的共軛加成在兩個可能的烯胺中從位阻較小的一面進攻。
用鹵代烷處理烯胺,將發生烷基化反應,這與脂肪碳的醯化中提到的第一步反應相似。水解亞胺鹽將生成酮。因為烯胺一般從酮轉化而來,反應的淨結果便是在酮的α-位發生烷基化反應。該反應稱為Stork反應,也被稱為Stork烯胺反應,它可以替代酮烷基化反應。
Stork反應有一個優點,即通過該反應一般可使酮只發生專一的單烷基化反應,然而在以往提到的反應方法中,很難將酮的烷基化作用控制在只生成一個烷基那一步。烷基化反應通常發生在酮的含取代基比較少的那一側。最常使用的胺有環狀胺,如哌啶、嗎啉和吡咯烷。
反應實例
該反應很適用於活性很高的鹵代烷,如烯丙型、苯甲型和炔丙型鹵化物,以及α-鹵代醚和酯等,但是對一般的一級或二級鹵化物則不太適用。三級鹵化物基本不發生此反應,對於該類鹵化物來說。一般是親核取代和消除反應為主。該類反應還可適用於活化的芳基鹵化物(如:2,4二硝基氯苯)、環氧化物以及活潑的烯烴(如丙烯腈)等。
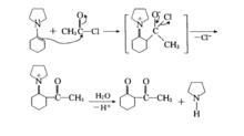
通過與醯鹵或酸酐反應,同樣可以實現醯化。將獲得的亞胺鹽水解可得到1,3一二酮。如果用氯甲酸乙酯(CICOOEt)處理烯胺。可在分子中引入COOEt 基團;用氯化氰(而不是溴化氰或碘化氰,這兩種試劑將導致烯胺發生鹵化作用)處理,可引入CN基團;用甲酸乙酸酐或DMF和光氣口處理,可引入CHO基團;用腈鎓鹽(RC≡N Rˊ)處理,可引入C(R)═NRˊ基團。烯胺的醯化反應可以採取與烷基化反應一樣的機理,但是如果醯肉分子中含有一個氫原子,而且如果反應體系中有一個三級胺(用於中和生成的HX),則還可能存在另外一種反應機理。在這種反應機理中,醯鹵在三級胺的作用下脫鹵化氫,生成一個烯酮,該烯酮分子與烯胺加成,生成環丁酮。該化合物町在溶液中斷裂,同樣生成醯化亞胺鹽。這種鹽可通過更直接的反應過程合成出,它可被分離出來(在烯胺是從醛製備而來的情況下),這種化合物還可以其它的方式發生斷鍵過程。
一級和二級鹵代烷一般在反應中效果不好,原因很可能是此時N-烷基化反應變為主反應,尤其是對於從醛衍生而來的烯胺。還有一個替代反應,可利用一級和一級鹵代烷高產率地發生烷基化反應,即烯胺鹽的烷基化反應。烯胺鹽可通過將亞胺與乙基溴化鎂在THF中反應而製得。
R—N═C(R )CH—R +EtMgBr—→MgX—N(R)—C(R )═CH—R +R X—→R—N═C(R )═CH(R )—R + MgX(水解)—→O═C(R )—CH(R )—R
烯胺鹽方法還可被用於α,β-不飽和酮的單α-烷基化反應,反應產率很高。用醛和丁基異丁基胺反應製得的烯胺可被簡單的一級鹵代烷烷基化,該反應的產率也很高。由於空間位阻的影響,在該反應條件下不發生N-烷基化。
當底物分子的氮原子含有一個手性R基團時,無論足採用Stork烯胺合成法還是烯胺鹽方法,均可實現對映選擇性合成。
雖然不屬於嚴格意義上的烯胺合成方法,但還是可利用烯胺與溴乙酸甲酯在金屬銦存在下反應,完成α-烷基化反應的發生:
RN—N═CHR —→RN—CH(Rˊ)CHR
反應機理
烯胺烴基化的反應機理為S2,其反應結果類似於鏈烯脂肪碳上進行的烴基化。以環己酮與四氫吡咯生成的烯胺的烴基化為例,其反應機理可表示如下:
環己酮與四氫吡咯的反應上述烯胺與乙醯氯進行的醯基化,其反應機理可表示如下圖所示:
反應機理烯胺的醯基化通常發生於碳原子上、雖然也可能發生N-醯基化,但N-醯基化產物不穩定,並且其本身也起一種醯基化利的作用。因此通常可得到高產率的C-醯基化物。
Stork烯胺反應本反應常以四氫吡咯、六氫吡啶、嗎啉、二甲胺、二乙胺等為仲胺來製備烯胺,其中四氫吡咯的活性最大,套用也最多。
由於烯胺烴基化為S2反應,反應時烴基化劑的構型將發生反轉。常用的烴基化劑為烯丙基鹵、苄鹵、炔丙基鹵等活潑的鹵代烴,以及α-鹵代酸酯、α,β-不飽和腈、α,β-不飽和酯、α,β-不飽和醛(或酮)和硝基化合物等。
烴基化通常發生於底物取代較少的一側,而且幾乎惟一導致酮的一烴基化。但是,當酮與鹵代烴在強鹼作用下發生。化烴基化時,則難免引入一個以上的烴基。
烯胺的醯基化可用醯鹵(多採用高級脂肪酸的醯鹵,或芳香族羧酸、雜環羧酸的醯鹵)或酸酐為醯基化劑。反應在等物質的量的三乙胺存在下進行,以除去反應生成的鹵化氫。由此法合成β-二酮,一般比鹼催化的合成法的產率高。例如,環己酮與嗎啉形成的烯胺在三乙胺存在下,與丙醯氯在氯仿中反應,再經稀鹽酸水解,可得到85%產率的2-丙醯基環己酮。
Stork烯胺反應已經廣泛套用於有機合成,尤其用於製備環狀化合物,如甾族化合物等。
