反應機理
反應機理 反應實例
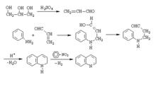
反應實例 也可用α,β-不飽和醛或酮代替甘油,或用飽和醛先發生羥醛縮合反應得到α,β-不飽和醛再進行反應,其結果是一樣的。
參考文獻
[1] Z.H.Skraup,Ber.,1880,13,2086;1882,15,897.
[2] R.H.F.Manske,M.Kulka,Org.Reactions,1953,7,59.
[3] G.M.Badger,H.P.Crocker,B.C.Ennis,etal.,AustralianJ.Chem.,1963,16,814,840.
[4] G.M.Badger,B.C.Ennis,W.E.Matthews,AustralianJ.Chem.,1963,16,828.

