SNK為Student-Newman-Keuls三人姓氏的縮寫
把要比較的各個平均數從大到小排列,並寫上等級r,這是q法的亮點
計算公式:
SNK q檢驗
SNK q檢驗其中 i 和j 代表兩個水平的數據,,由於不同數據的df不同,對應的臨界q值也不同
查表得出臨界q值
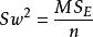
各組容量都為n,則
SNK q檢驗
SNK q檢驗
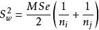
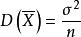
SNK q檢驗MseMSe代表均方誤差,是對誤差的無偏估計。從總體中抽取大小為n的樣本,樣本平均數的標準誤為,這是公式的原理。
完全隨機設計中若各組容量不同,則
SNK q檢驗MSe代表均方誤差
SPSS
以單變數單因素方差分析為例,一列因變數,一列自變數(4個水平),在事後檢驗選取SNK檢驗,可以發現四個組被按照相似程度劃分成了2個子集,表格內會顯示組均值,最下面一排顯示顯著性。
SNK q檢驗