能量密度和功率密度是衡量能量儲存系統的兩個重要參數。
Ragoneplot反映了能量密度和功率密度的關係。
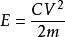
根據循環伏安法(CV)和恆流充放電(GCD)計算方法:
Ragone plotWh/kg
Ragone plotW/kg
式中C(F/g)為整個電容的比電容,計算時需計算兩個電極的質量。V(V)為視窗電壓,t(s)為放點時間。
根據交流阻抗(EIS)計算:
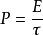
Ragone plot
Ragone plot為特徵頻率
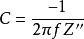
Ragone plot
Ragone plot
Ragone plot為時間常數

