基本信息
PNPP
產品編號: STY097
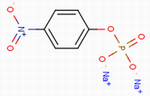
中文名稱: 對硝基苯磷酸二鈉
英文名稱: PNPP
分子結構式英文別名: Disodium 4-nitrophenyl phosphate線性分子式: C6H4NO6PNa2·6H20
純度: 98%
CAS號: 4264-83-9
分子式: C6H4NNa2O6P
分子量: 263.05
性狀描述
白色或淡黃色結晶粉末。
物理參數
熔點:300℃
用途說明
測定磷酸酶的顯色底物;測定酸性和鹼性磷酸酶(phosphatases)的顯色底物;反應能產生黃色的末端產物,在波長405nm可以讀取,該反應能被3 N NaOH溶液終止。
貯藏運輸
2-8℃冷藏,避光
危險說明
危險代碼:Xn
危險等級:RR36/37/38
安全等級:S26-36-24

