簡介
微波開關利用PIN管在直流正-反偏壓下呈現近似導通或斷開的阻抗特性,實現了控制微波信號通道轉換作用. PIN 二極體的直流伏安特性和PN結二極體是一樣的,但是在微波頻段卻有根本的差別。由於PIN 二極I層的總電荷主要由偏置電流產生。而不是由微波電流瞬時值產生,所以其對微波信號只呈現一個線性電阻。此阻值由直流偏置決定,正偏時阻值小,接近於短路,反偏時阻值大,接近於開路。因此PIN 二極對微波信號不產生非線性整流作用,這是和一般二極體的根本區別,所以它很適合於做微波控制器件。
因此,可以把PIN二極體作為可變阻抗元件使用。它常被套用於高頻開關(即微波開關)、移相、調製、限幅等電路中。
工作原理
因為 PIN二極體的射頻電阻與直流偏置電流有關,所以它可以用作為射頻開關和衰減器。串聯射頻開關電路:當二極體正偏時,即接通(短路);當二極體零偏或者反偏時,不僅開關的最高工作頻率會受到限制,最低工作頻率也會受到限制,如PIN管就不能控制直流或低頻信號的通斷。受管子截止頻率的影響,開關還有一個上限工作頻率。要求開關的頻帶儘量寬,因為信號源的頻帶越來越寬。
特性
加負電壓(或零偏壓)時,PIN管等效為電容+電阻;加正電壓時,PIN管等效為小電阻。用改變結構尺寸及選擇PIN二極體參數的方法,使短路的階梯脊波導的反射相位(基準相位)與加正電壓的PIN管控制的短路波導的反射相位相同。還要求加負電壓(或0偏置)的PIN管控制的短路波導的反射相位與標準相位相反(-164°~+164°之間即可)。
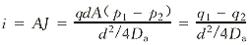
圖1給出了PIN二極體在正嚮導通時的電荷分布情況.為簡化起見,我們假設I區域中電子與空穴分布對稱且分布密度相同.設x=-d處的空穴分布密度為p1,在[-d,0]區域中的剩餘空穴電荷為q2,且位於x=-d/2處,這樣此區域的平均空穴密度為:p2=q2/qAd.這裡A為結面積,q為單位電荷.
PIN二極體圖1 PIN二極體的電荷分布
由於P+區域的空穴密度遠大於電子密度,這樣在x=-d處的電子電流可以忽略(所引起的誤差將在下文討論).二極體的電流密度可以表示為[9]
PIN二極體其中 Da為擴散常數;Jh為空穴電流密度.
二極體的電流為
PIN二極體電荷q2與電流的關係式為
PIN二極體其中 τa為壽命時間.
式(2)及式(3)描述了二極體的模型,通過定義qE=2q1, qM=2q2及T=d2/2Da,兩式可簡化為
PIN二極體
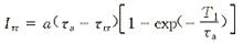
PIN二極體圖2表示了在感性負載時二極體的關斷過程.此過程可分為兩個階段:從t=T0到t=T1,二極體處於低阻抗狀態,其電壓近似為0,在t=T1時刻,二極體中I區域邊緣的剩餘電荷變為0,二極體開始呈現高阻抗狀態.在式(4)、(5)中令qE=0可得t=T1時刻後二極體的電流為
PIN二極體其中 τ?rr由式(7)給出,I?rr為反向恢復電流峰值.
PIN二極體
PIN二極體圖2 反向恢復電流波形
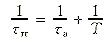
一般情況下,t?rr、I?rr及測試條件di/dt、I?FM均在器件的產品手冊上列出.根據式(6)及測試條件,τ?rr可由下式獲得
PIN二極體其中 a=-di/dt.
根據圖2所示的反向電流波形,qM在t≤T1階段的表達式為
PIN二極體當t=T1時,i(T1)=-I?rr=-qM(T1)/T,代入上式得式(10),τa可由此式解出
PIN二極體然後參數T可由τa、T及τ?rr的關係式(7)算出.
從以上的討論可以看出,該模型的參數可以方便地從產品手冊中得到:首先由式(8)計算τ?rr,再從式(10)解得τa,最後由式(7)決定參數T。
考慮參數
1. 插入損耗:開關在導通時衰減不為零,稱為插入損耗
2. 隔離度:開關在斷開時其衰減也非無窮大,稱為隔離度
3. 開關時間: 由於電荷的存儲效應,PIN管的通斷和斷通都需要一個過程,這個過程所需時間
4. 承受功率: 在給定的工作條件下,微波開關能夠承受的最大輸入功率
5. 電壓駐波係數: 僅反映連線埠輸入,輸出匹配情況
6. 視頻泄漏
7. 諧波: PIN二極體也具有非線性,因而會產生諧波,PIN開關在寬頻套用場合,諧波可能落在使用頻帶內引起干擾. 開關分類:反射式和吸收式, 吸收式開關的性能較反射式開關優良
其他
控制方式:採用TTL信號控制。'1'通'0'斷
PIN二極體型號的選擇主要是根據所做光功率計的測量範圍來確定的。常用的PIN二極體(如FU-15PD)都是小信號工作器件,光敏面不合適,能接收的光功率範圍很有限,所以一般不用它做光功率計的探測器。
PIN二極體還可以調節到高頻範圍。為改善隔離特性,我們可以將兩個或多個二極體串聯起來,但同時會引起介入損耗的增大。PIN二極體本質上還屬於電流控制的電阻器。為減少介入損耗,它們需要採用大量的直流電源以降低I(本徵)區內的電阻率。這顯然會影響電池壽命。這種特點,再加上PIN二極體方案需要大量器件,使得這種技術很難套用於便攜手持式產品。

