系統結構
圖2
PID串級控制
PID串級控制
PID串級控制
PID串級控制
PID串級控制
PID串級控制
PID串級控制
PID串級控制
PID串級控制
PID串級控制圖2為PID串級控制的系統結構,、分別為系統的一次和二次干擾,也可以稱之為外擾和內擾,、、、、、、、分別為外、內環迴路控制器(均為PID控制器)、被控對象、設定值、系統輸出。進入內環迴路的干擾稱為二次干擾,進入外環迴路的干擾稱為一次干擾。
原理
從串級控制的工作過程看來,兩個控制器是串聯工作的,以外環控制器為主導,保證外環主變數穩定為目的,兩個控制器協調一致,互相配合。尤其是對於二次干擾,內環控制器首先進行“粗調”,外環控制器再進一步“細調”。因此控制品質必然優於簡單控制系統。串級控制系統在結構上僅僅比簡單控制系統多了一個內環迴路,可是實踐證明,對於相同的干擾,串級控制系統的控制質量是簡單控制系統無法比擬的。就外環迴路看是一個定值控制系統,但內環迴路可看成是一個隨動控制迴路。外環控制器按負荷和操作條件的變化不斷糾正內環控制器的設定值,使內環控制器的設定值適應負荷和操作條件的變化。如果對象中有較大非線性的部分包含到了內環迴路中,則負荷和操作條件變化時,必然使內環迴路的工作點移動而影響其穩定性。但在串級結構中,內環迴路的變化對整個系統的穩定性影響很小,所以從這個意義上說,串級控制系統能夠適應不同負荷和操作條件的變化。
特點
(1) 由於內環迴路的存在,改變了原來的對象特性,使內環迴路對象的等效時間常數變小,所以使系統的過渡時間縮短了,控制作用更加及時;
(2) 改善了對象特徵,起到超前控制的作用,有效抑制內環迴路干擾,這種超前控制作用最適合干擾落在內環迴路內的情況,若干擾落在外環迴路時,超前作用就不明顯了;
(3) 提高了系統的工作頻率,使振盪周期減小,調節時間縮短,系統的快速性增強;
(4) 當模型失配時,內環控制器可以很好的抑制干擾,而外環控制器則以良好的動態性能和魯棒性能為設計目標;
(5) 由於串級控制系統的內環是一個隨動控制系統,它的設定值隨著外環控制器的輸出而變化。外環控制器可以按照操作條件和負荷的變化情況,不斷調整內環控制器的設定值,從而保證在操作條件和負荷發生變化的情況下,控制系統仍有較好的控制效果。
設計原則
(1) 內環迴路參數的選擇首先必須是物理上可測的,其次應使內環迴路調節過程的時間常數不能太大,調節通道儘可能短,時間滯後小,以便使等效過程的時間常數大大減小,從而提高整個系統的工作頻率,加快反應速度,縮短調節時間,改善系統的控制品質。
(2) 在選擇內環迴路參數時,必須把主要干擾包含在內環迴路中,並力求把更多的干擾包含在內環迴路中,這樣可以充分發揮內環迴路的長處,使串級控制系統的特點更突出,並將影響外環迴路參數最激烈、最頻繁的干擾因素抑制到最低程度,同時確保外環迴路參數的控制質量。但也不能使內環迴路包含的干擾越多越好,因為內環迴路包含的干擾越多,其時間滯後必然越大,迅速克服干擾的能力就會受到影響。
(3) 內環迴路參數的選擇應使內、外環迴路的被控過程的時間常數適當匹配。顯然,如果內環迴路包含的干擾量越多,則其控制通道的時間常數越長,控制起來就越慢。如果內、外環迴路的振盪頻率比較接近時,容易引起共振,為此必須使兩個振盪頻率比大於3。相應的,內、外環迴路過程的時間常數之比應大於3,一般控制在3~10的範圍內。這樣,內、外環迴路之間的動態關係就非常小了。
(4) 參數的選擇應該考慮工藝上的合理性、可能性和經濟性。
調參原則步驟
PID調試一般原則為:
a.在輸出不振盪時,增大比例增益P。
b.在輸出不振盪時,減小積分時間常數Ti。
c.在輸出不振盪時,增大微分時間常數Td。
(它們三個任何誰過大都會造成系統的震盪。)
一般步驟為:
a.確定比例增益P :確定比例增益P 時,首先去掉PID的積分項和微分項,一般是令Ti=0、Td=0(具體見PID的參數設定說明),使PID為純比例調節。輸入設定為系統允許的最大值的60%~70%,由0逐漸加大比例增益P,直至系統出現振盪;再反過來,從此時的比例增益P逐漸減小,直至系統振盪消失,記錄此時的比例增益P,設定PID的比例增益P為當前值的60%~70%。比例增益P調試完成。
b.確定積分時間常數Ti比例增益P確定後,設定一個較大的積分時間常數Ti的初值,然後逐漸減小Ti,直至系統出現振盪,之後在反過來,逐漸加大Ti,直至系統振盪消失。記錄此時的Ti,設定PID的積分時間常數Ti為當前值的150%~180%。積分時間常數Ti調試完成。
c.確定積分時間常數Td 積分時間常數Td一般不用設定,為0即可。若要設定,與確定 P和Ti的方法相同,取不振盪時的30%。
d.系統空載、帶載聯調,再對PID參數進行微調,直至滿足要求:理想時間兩個波,前高后低4比1。
PID控制器
基本原理
圖1 PID 控制系統原理圖PID(Proportional、Integral and Differential)控制器本身是一種基於對“過去”、“現在”和“未來”信息估計的簡單控制方法。
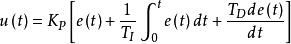
PID串級控制常規模擬 PID 控制器系統原理框圖如圖1所示,系統主要由 PID 控制器和被控對象組成。作為一種線性控制器,它根據設定值和實際輸出值構成控制偏差,將偏差按比例、積分、微分通過線性組合構成控制量,對被控對象進行控制,其控制規律為: 。
PID串級控制
PID串級控制
PID串級控制式中,u(t)為進入受控對象的控制變數,e(t) =r (t) -y (t)為偏差信號,r (t)為設定的參考輸入值, 為比例係數, 為積分時間常數,為微分時間常數。
PID串級控制
PID串級控制簡單說來 PID 控制器各校正環節的作用是:比例環節即成比例地反映控制系統的偏差信號 e(t),偏差一旦產生,控制器立即產生控制作用以減小偏差;積分環節主要用於消除靜差,提高系統的無差度。積分作用的強弱取決於積分時間常數,越大,積分作用越弱,反之則越強;微分環節反應偏差信號的變化趨勢,並能在偏差信號變得太大之前,在系統中引入一個有效的早期修正信號,從而加快系統的動作速度,減小調節時間。
特點
PID 適用於如此廣泛的工業與民用對象,並仍以很高的性能/價格比在市場中占據著重要地位,充分反映了 PID 控制器的良好品質。概括地講,PID 控制的優點主要體現在:原理簡單、實現方便,是一種能夠滿足大多數實際需要的基本控制器。控制器適用於多種截然不同的對象,算法在結構上具有較強的魯棒性。確切的說,在很多情況下其控制品質對被控對象的結構或參數攝動不敏感。
但從另一方面來講,控制算法的普遍適應性也反映了 PID 控制器在控制品質上的局限性。具體分析,其局限性主要來自以下幾方面:算法結構的簡單性決定了 PID 控制比較適用於 SISO 最小相位系統,在處理大時滯、開環不穩定過程等難控對象時,需要通過多個 PID 控制器或與其他控制器的組合,才能得到較好的控制效果。
示例
圖3以四軸PID串級控制為例,圖3為其系統結構圖。PID串級控制內外兩環並聯調節,這增強了系統的抗干擾性(也就是增強穩定性),因為有兩個控制器控制飛行器,它會比單個控制器控制更多的變數,使得飛行器的適應能力更強。
在整定串級PID時,先整定內環PID,再整定外環P。因為內環靠近輸出,效果直接。
(1)內環P:從小到大,拉動四軸越來越困難,越來越感覺到四軸在抵抗你的拉動;到比較大的數值時,四軸自己會高頻震動,肉眼可見,此時拉扯它,它會快速的振盪幾下,過幾秒鐘後穩定;繼續增大,不用加人為干擾,自己發散翻機。需特別注意的是:只有內環P的時候,四軸會緩慢的往一個方向下掉,這屬於正常現象。這就是系統角速度靜差。
(2)內環I:積分只是用來消除靜差,因此積分項係數個人覺得沒必要弄的很大,因為這樣做會降低系統穩定性。從小到大,四軸會定在一個位置不動,不再往下掉;繼續增加I的值,四軸會不穩定,拉扯一下會自己發散。需特別注意:增加I的值,四軸的定角度能力很強,拉動他比較困難,似乎像是在釘釘子一樣,但是一旦有強幹擾,它就會發散。這是由於積分項太大,拉動一下積分速度快,給的補償非常大,因此很難拉動,給人一種很穩定的錯覺。
(3)內環D:這裡的微分項D為標準的PID原理下的微分項,即本次誤差-上次誤差。在角速度環中的微分就是角加速度,原本四軸的震動就比較強烈,引起陀螺的值變化較大,此時做微分就更容易引入噪聲。因此一般在這裡可以適當做一些滑動濾波或者IIR濾波。從小到大,飛機的性能沒有多大改變,只是回中的時候更加平穩;繼續增加D的值,可以肉眼看到四軸在平衡位置高頻震動(或者聽到電機發出滋滋的聲音)。前述已經說明D項屬於輔助性項,因此如果機架的震動較大,D項可以忽略不加。
(4)外環P:當內環PID全部整定完成後,飛機已經可以穩定在某一位置而不動了。此時內環P,從小到大,可以明顯看到飛機從傾斜位置慢慢回中,用手拉扯它然後放手,它會慢速回中,達到平衡位置;繼續增大P的值,用遙控器給不同的角度給定,可以看到飛機跟蹤的速度和回響越來越快;繼續增加P的值,飛機變得十分敏感,機動性能越來越強,有發散的趨勢。

