釋義
m³,是指實際工作狀態下氣體體積;
Sm³,是指對照條件下(可參考條件下)(一般是20攝氏度1 個標準大氣壓)氣體體積。
Nm³/h是在0度,一個標準大氣壓下的標準流量,Nm³/h通常叫標立方,是標準狀態下的排量。
m³/h是在工作溫度及工作壓力下的流量.
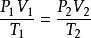
公式
Nm3他們的關係需要的條件是你的m³/h具體是在哪個壓力下,具體的溫度是多少,有公式;
運用
一台壓縮機,在西藏使用和在上海使用,它的排量如果用Nm³/h計算,數值差別不大,但m³/h就差很多了,因為兩地大氣壓不同。

Nm3是指在0攝氏度1個標準大氣壓下的氣體體積;N代表標準條件(Normal Condition),即空氣的條件為一個標準大氣壓, 溫度為 0℃, 相對濕度為0%。
m³,是指實際工作狀態下氣體體積;
Sm³,是指對照條件下(可參考條件下)(一般是20攝氏度1 個標準大氣壓)氣體體積。
Nm³/h是在0度,一個標準大氣壓下的標準流量,Nm³/h通常叫標立方,是標準狀態下的排量。
m³/h是在工作溫度及工作壓力下的流量.
Nm3他們的關係需要的條件是你的m³/h具體是在哪個壓力下,具體的溫度是多少,有公式;
一台壓縮機,在西藏使用和在上海使用,它的排量如果用Nm³/h計算,數值差別不大,但m³/h就差很多了,因為兩地大氣壓不同。
Nm3是指在0攝氏度1個標準大氣壓下的氣體體積;N代表標準條件(Normal Condition),即空氣的條件為一個標準大氣壓, 溫度為 0℃, 相對...
釋義 公式 運用擴建鍋爐機組執行30mg/Nm3煙塵排放限值。新建火電廠採用袋式除塵器...
1 袋式除塵發展概況 2 袋式除塵器的技術 3 袋式除塵技術的套用簡介為強化科技支撐大氣污染防治工作,貫徹落實國務院《大氣污染防治行動計畫》,科技部與環境保護部在組織實施《藍天科技工程“十二五”...
簡介 前言 目 錄 第一部分技術目錄:≤31.04mg/Nm3(國家標準:200mg/Nm3)排煙脫硫裝置廠牌:日本富士化...:≥90%設計排放濃度; ≤235mg/Nm3 (82PPM)國家標準:2,100mg/Nm3 (734PPM)排煙脫硝裝置廠牌:日本B.H.K型式...
企業使命 秉持目標 本廠設備 環境保護 經營管理公司簡介 河北藝能鍋爐有限責任公司 河北藝能鍋爐有限責任公司(原吳橋縣導熱油爐有限責任公司)坐落於天下聞名的雜技之鄉—吳橋,在北...
公司簡介 新聞中心 發展歷程 產品展示 技術支持/Hr 除塵效率:≥99.8% 設計排放濃度:≤31.04mg/Nm3 (國家標準:200mg/Nm3) 排煙脫硫裝置 廠牌:日本富士化水型式...% 設計排放濃度; ≤235mg/Nm3 (82PPM) 國家標準...
公司簡介 設備簡介 環境保護 企業福利 經營管理,粉塵捕集率≥90%,粉塵產生濃度2g/Nm3,除塵效率≥99%。該系統.../Nm3。 各點含塵煙氣→集氣罩→布袋除塵器→風機→15米排氣筒.../Nm3,除塵效率≥99%。 料倉倉口及下料口→集氣罩→布袋除塵器→風機...
的,單位:MJ·Nm3真實體積發熱量: 燃氣熱值 質量發熱量真實氣體.../標準立方米(kcal/Nm3)、千焦耳/標準立方米(KJ/Nm3)或兆卡/標準立方米(Mcal/Nm3)、兆焦耳/標準立方米(MJ/Nm3...
熱值計算 熱值簡介 常用單位 目錄 分類