定義
設一個離散線性系統,輸入u(n)是一個具有零均值與方差為σ的白噪聲序列,輸出是x(n),該離散線性系統的輸出和輸入之間的關係可用如下的差分方程來表示
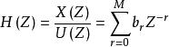
MA模型其系統函式為
MA模型式中X(Z)為輸出信號x(n)的Z變換,U(Z)為輸入信號u(n)的Z變換,b(r=0,…M)是係數。式①表達的信號模型稱為MA模型,又稱移動平均模型。按公式的物理意義可以解釋為模型表示現在的輸出是現在和過去M個輸入的加權和。按②式,MA模型是一個全零點模型。
用MA模型法求信號譜估計的具體作法是:①選擇MA模型,在輸入是衝激函式或白噪聲情況下,使其輸出等於所研究的信號,至少應是對該信號一個好的近似。②利用已知的自相關函式或數據求MA模型的參數。③利用求出的模型參數估計該信號的功率譜。
在ARMA參數譜估計中,大多數估計ARMA參數的兩步方法都首先估計AR參數,然後在這些AR參數基礎上,再估計MA參數,然後可求出ARMA參數的譜估計。所以MA模型參數估計常作為ARMA參數譜估計的過程來計算。
AR模型
AR 模型(auto regressive model)自回歸模型,模型參量法高解析度譜分析方法之一,也是現代譜估計中常用的模型。
設一個離散線性系統,輸入u(n)是一個具有零均值與方差為σ的白噪聲序列,輸出是x(n),該離散線性系統輸出和輸入之間的關係可用如下的差分方程來表示
MA模型①
其系統函式為
②
MA模型其中X(Z)為輸出信號的Z變換,U(Z)為輸入信號的Z變換, ,k=1,2,‘’‘P是係數,式①表達的信號模型稱為AR模型,或自回歸模型。該模型的物理意義表示現在的輸出是現在的輸入和過去p個輸出的加權和;按②式AR模型是一個全極點模型。
用AR模型法求信具體作法是:
①選擇AR模型,在輸入是衝激函式或白噪聲的情況下,使其輸出等於所研究的信號,至少,應是對該信號的一個好的近似。
②利用已知的自相關函式或數據求模型的參
數。
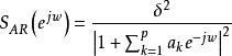
MA模型③利用求出的模型參數估計該信號的功率譜。由AR模型參數所決定的譜,
MA模型式中σ即為激勵白噪聲的能量。對一維高斯平穩信號的情況,AR譜、線性預測和最大熵譜之間是等效的。
套用
可以用於處理分離正弦信號頻率,多套用於機械零件比如齒輪、軸承故障診斷和分析。
