介紹
新能源發電系統的核心模組是併網逆變器,LCL型併網逆變器因具有優越的高頻諧波抑制能力而受到廣泛重視。但由於LCL型濾波器是三階系統,存在著高頻諧振和穩定控制困難等問題。
目前,國內外對併網逆變器控制主要分三類:電流控制、直接功率控制和模擬同步電機控制。電流控制是對併網電流進行直接或間接控制,實現分散式電源單位功率併網。直接功率控制,實現對分散式電源瞬時有功和無功功率的直接控制,具有高功率因數、低電流總畸變率和算法簡單等優點。模擬同步電機控制是模擬同步發電機特性,通過控制算法使併網逆變器模擬同步發電機運行方式運行,具備自平衡能力、下垂特性和大轉動慣量等特性 。
數學模型
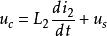
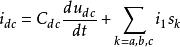
LCL型併網逆變器三相LCL併網逆變器的拓撲結構如圖1所示,其中i為直流側電流,C兩端為直流側母線電壓,L,L,C,組成三階LCL濾波器,r為電感L等效阻抗,r為電感L等效阻抗,u為電網電壓。
假定電網為星形連線並且三相電壓穩定對稱,考慮到最嚴峻的狀態,忽略LCL濾波器電感等效電阻。由基爾霍夫電壓、電流定律得到系統功率迴路方程。
LCL型併網逆變器
LCL型併網逆變器
LCL型併網逆變器
LCL型併網逆變器式中:u、i、i分別為濾波器電容電壓、逆變器側電流和網側電流。
三相LCL型逆變器經過Clark變換進行功率解耦之後,可以等效成兩個單相LCL型逆變器進行研究。根據式(1)將電網電壓u當成擾動輸入,可以得到併網輸出電流i和併網逆變器輸出電壓Vo之間的傳遞函式為:
LCL型併網逆變器LCL濾波器是三階系統,在諧振頻率處會產生一個很大的過沖,為了避免諧振附近的諧波幅值放大,增大併網電流高次諧波的含量,必須採用控制抑制 。
控制方法
電流控制策略
LCL型併網逆變器的電流控制策略可分逆變器側電感電流控制的間接電流控制策略、直接電流控制策略和兩者混合控制的策略。而針對併網逆變器LCL濾波器的高頻諧振問題,常採用無源阻尼控制和有源阻尼控制兩種方法抑制。
無源阻尼控制有濾波器電感或電容支路串聯或並聯電阻四種,它實現簡單,不需要額外的控制環節,但是會額外增加系統的功率損耗。有源阻尼控制主要包括虛擬電阻法、在前向通道中添加陷波濾波器、分裂電容法、零極點配置法以及電容電流補償法等。有源阻尼法的優點是在不增加系統損耗、不影響濾波器對高頻諧波的抑制能力下,通過控制算法有效抑制諧振尖峰。
圖2(1)間接電流控制
逆變器側電感電流反饋,通過控制電流i間接控制併網電流i,其控制原理如圖2所示 。
圖2中,Z、Z和Z分別為sL、1/C和sL;G(s)為逆變橋傳遞函式。該控制系統中,輸出量I(s)與參考量I*(s)的傳遞函式為:
LCL型併網逆變器對輸出量控制特徵方程進行勞斯判據分析,可以判定系統是穩定的。為了抑制電網擾動對電流控制的影響,可增加電網電壓前饋控制,或者採用電網電壓與電網電流雙前饋的間接電流控制,以提高併網電流功率因數。
(2)直接電流控制
LCL型併網逆變器上述間接電流控制策略,能夠實現系統穩定,但沒有對併網電流進行反饋控制,使得網側電感和濾波電容之間可能發生諧振,導致併網電流發生畸變,諧波抑制能力較差。直接電流控制,以併網電流作為控制量,典型的有源阻尼直接電流控制有逆變器側電感電流反饋和濾波電容電流反饋,以後者最為常用。典型的電容電流和併網電流雙閉環控制模型如圖3所示。
圖3中,H(s)和H(s)為電流反饋係數和併網電流反饋係數,G(s)和G(s)分別為電流內環和併網電流外環調節器的傳遞函式。圖4框圖進行調整,可以得出關於如的傳遞函式為:
LCL型併網逆變器
圖4從上式可以看出,只有在T無窮大時,才能完全消除u的影響,實現i跟蹤參考電流i實際上,為了保證系統穩定性,T不可能取無窮大。為此,引入電網電壓前饋策略,消除u對i的影響。若u滿足條件,則可以實現完全消除u對併網電流的影響。為了實現前饋控制,進行調整簡化等效處理,可以得到圖4的控制框圖。可以看出,內環反饋網側電感電壓微分量sCHu,前饋分量對應u的二次微分量。
直接功率控制策略
LCL型併網逆變器直接功率控制具有優良的動態性能以及系統結構簡單等優點,受到國內外學者的重視。傳統直接功率控制採用不定頻開關矢量表查詢方法,開關矢量表是核心,對控制效果的影響最為明顯、動態性能良好,然而存在開關頻率不恆定、功率耦合和波動大的問題。針對LCL併網逆變器的直接功率控制方法,使用有源功率阻尼控制方法並結合虛擬磁鏈技術,省去了電壓互感器,其直接功率控制結構如圖5所示。
LCL型併網逆變器直接功率控制主要包括三個環節:
(1)虛擬磁鏈計算;
(2)有源功率阻尼控制;
(3)諧波注入環節。
基於LCL濾波器的虛擬磁鏈DPC在增加有源阻尼控制和諧波注入控制後,系統在穩態性和動態性方面都有提高,甚至在電網電壓不平衡的條件下也可以保證良好的性能。
模擬同步電機控制策略
模擬同步發電機控制方法,採用模擬同步發電機模型的控制策略使得分散式電源對電網體現同步發電機的特性,且逆變器具有調頻調壓調功能力。有功功率和無功功率由虛擬同步發電機分配,兩者並聯運行,採用頻率和電壓下垂機械特性,模擬同步發電機運行。基於模擬同步發電機控制的LCL型併網逆變器控制結構如圖8所示 。
圖8為使得逆變系統類似大電網同步機的優良特性,可以採用下垂特性的功率控制,提高有功和無功的回響速度,以增大系統慣量。
(1)頻率下垂和有功功率的調整
對於同步發電機,原動機約束轉子旋轉速度,阻尼係數D與機械摩擦等因素密切相關。頻率下垂控制環是使同步發電機均勻分擔負載的一種重要方法。根據電網頻率改變輸出的功率分配,阻尼係數D表現為頻率下垂係數,定義為轉矩差值與角速度差值之比。
LCL型併網逆變器圖8上半部分所示為有功功率的控制環。穩態時,角速度差為零,系統運行在功率設定值,頻率發生改變時,則頻率下垂機制使得系統可以自動調頻,分擔負載有功。
(2)電壓下垂和無功功率的調整
對無功功率的調整,把無功功率的變化量與電壓變化量的比值定義為電壓下垂係數,與同步發電機的無功調節特性相似,即:
LCL型併網逆變器圖8下半部分所示的無功/電壓控制環,穩態時電壓差值為零,系統跟蹤無功功率設定值運行,當電壓發生變化時,電壓下垂機制使得系統可以自動調整無功以跟蹤母線電壓 。

