簡介
LC電路的周期電磁振盪LC電路,也稱為 諧振電路、 槽路或 調諧電路,是包含一個電感(用字母L表示)和一個電容(用字母C表示)連線在一起的電路。該電路可以用作電諧振器(音叉的一種電學模擬),儲存電路共振時振盪的能量。
LC電路既用於產生特定頻率的信號,也用於從更複雜的信號中分離出特定頻率的信號。它們是許多電子設備中的關鍵部件,特別是無線電設備,用於振盪器、濾波器、調諧器和混頻器電路中。
電感電路是一個理想化的模型,因為它假定有沒有因電阻耗散的能量。任何一個LC電路的實際實現中都會包含組件和連線導線的儘管小卻非零的電阻導致的損耗。LC電路的目的通常是以最小的阻尼振盪,因此電阻做得儘可能小。雖然實際中沒有無損耗的電路,但研究這種電路的理想形式對獲得理解和物理性直覺都是有益的。對於帶有電阻的電路模型,參見RLC電路。
術語
在 LC電路中,L代表電感,單位:亨利(H),C代表電容,單位:法拉(F)。
電磁振盪完成一次周期性變化需要的時間叫做周期,一秒內完成的周期性變化的次數叫做頻率。
振盪電路中發生電磁振盪時,如果沒有能量損失,也不受其他外界的影響,這時電磁振盪的周期和頻率,叫做振盪電路的固有頻率和固有周期。固有周期可以用下式求得
LC振盪電路其時間常數為L/R。
時域解
基爾霍夫定律
以LC並聯電路為例,電容兩端的電壓 V等於電感兩端的電壓 V:
LC振盪電路流入電容的電流等於流出電感的電流:
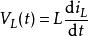
LC振盪電路從電路元件的本構關係可知
LC振盪電路並且
LC振盪電路微分方程
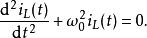
調換順序並進行代換得到二階微分方程
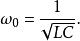
LC振盪電路參數 ω,諧振角頻率定義為:
LC振盪電路利用這個可以簡化微分方程
LC振盪電路相關的多項式是
LC振盪電路因此,
LC振盪電路或者說
LC振盪電路其中 j為虛數單位。
相關條目
•RL電路
•RC電路
•RLC電路

