數字圖像處理
在數字圖像處理和模式識別領域,
無後來提升為一種有效的紋理描述運算元,度量和提取圖像局部的紋理信息,對光照具有不變性。LBP有很多變種,或說改進。單純的LBP記錄像素點與其周圍像素點的對比信息,或說差異。從圖1我們看到,最左邊的是原圖,標號為example。我們要檢測某個像素點的某些信息,在圖1中,對於9個方格中中間方格(方格中的數字是像素點灰度值大小),做一個閾值化處理。大於等於中心點像素的,則標記為1,小於的則標記為0。最後將中心像素點周圍的11110001二進制數化為十進制數,得到LBP值。
二進制數11110001的順序並無硬性要求,只要在同一處理中保持相同的順序即可。
圖1,LBP示意圖
圖2,LBP可以去多個周圍像素點和採樣半徑LBP運算元可以取多個周圍像素點和採樣半徑。
但是這樣的LBP描述特徵能力有限,且不具備鏇轉不變性。很容易想像,如果圖片進行了鏇轉,則LBP值也會隨之改變。因此有了下面的改進。
將LBP周圍的二進制碼(如11110001)按位鏇轉,取二進制碼最小的值。對於11110001情況,我們按位鏇轉,得到11100011,11000111,10001111,0001111,00111110,01111100,11111000七個不同的二進制數,最小值為00011111,則取該種模式(pattern)為最終LBP。這又稱為LBPROT,或寫為LBPp,r ri。
對於採樣半徑為1,周圍像素點數為8的情況,LBPROT運算元(即具有鏇轉不變性的LBP模式)總共有36個。
LBPROT但是對於LBPROT來說,其實驗結果並不好。不能提供很好的解析度。
在以上的基礎上,又有了Uniform LBP的出現。
所謂Uniform LBP,指在LBP二進制數中,0到1和1到0的跳變總數不超過兩次。如00000000和11111111,並沒有0,1跳變,U=0。對於11110000和00001111,則有一次跳變,U=1。對於Uniform LBP來說,具備鏇轉不變性的pattern只有9個,如圖3LBPROT中第一排標號為0-8的pattern。因此,最終結果為統計Uniform LBP pattern的直方圖,把所謂的nonUniform放入直方圖的另一個bin中,得到最終的特徵向量。
Uniform LBP在局部紋理描述上取得了較好的描述效果,原因在於,Uniform LBP 的各種模式占據了圖像中所有模式的絕大部分。不同採樣半徑和周圍像素點個數會不同,但Uniform LBP占據了所有模式的50%~95%。
LBP還有很多變種,如CLBP,LBPHF等等。有興趣的讀者可以閱讀相關文獻 。
LBP已經成功套用於人臉檢測,唇語識別,表情檢測,動態紋理等等領域。其算法複雜度低,消耗記憶體小,原理簡單,但並不一定適合所有的特徵描述。
介紹
線性反投影算法(Linear Back Projection,簡稱 LBP)又稱累加法,是最早使用的一種簡單(ECT圖像重建)成像算法。它將通過某點的所有投影射線進行累加,再反向估算出該點的密度值。從成像觀點分析,它是不完全的雷登逆變換(完整的雷登逆變換包括微分、希爾伯特變換、反投影和歸一化等步驟)。
算法
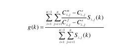
對於 ECT 技術,假設被測介質變化對靈敏場的影響可以忽略,若被成像的兩相介質分別為 A 相和 B 相,介電常數分別為 ε A和 ε B,且 ε A < εB,則重建圖像中第 k 個像素的灰度
其中, Ce i ,j、 Ci f,j分別為管中充滿 A 相和 B 相時的電容,mCi ,j為管中同時存在 A 相和 B 相介質時的電容。線性反投影的數學解釋為:假設S是介電常數向量空間到電容向量空間的映射,則 ST 可視為電容向量空間到介電常數空間的映射,由於 S- 1不存在,用 ST 取代 S-1 ,則線性反投影的矩陣形式為
lbp由於線性反投影只是一種定性的算法,研究者在此基礎上提出了疊代反投影算法。其計算步驟如下:
1) 基於均質靈敏度信息,利用線性反投影算法獲得初始圖像;
2) 利用已獲得的介電常數分布,求解正問題,得到一組仿真電容值,將該值與測量電容值進行比較,若誤差已達到滿意值,算法結束,否則進行下步;
3) 修正靈敏度信息;
4) 根據上步已經修正後的靈敏度信息,利用測量電壓重新進行線性反投影;返回第二步,並進行循環疊代,直到獲得滿意的結果為止,疊代結束。
符號
LBP:黎巴嫩鎊的標準符號
黎巴嫩鎊(Lebanese Pound)法語:里拉(livre) 原符號:£L. 標準符號:LBP
lbp黎巴嫩貨幣為黎巴嫩鎊,輔幣為皮阿斯特,1500黎巴嫩鎊可兌換1美元,180多黎巴嫩鎊可兌換1元人民幣;雖然該種貨幣非國際自由流通貨幣,但在該國卻可以使用各國貨幣並可自由兌換。雪松是黎巴嫩的特產,也叫黎巴嫩杉,是該國的象徵,代表神聖、永遠、和平之意。在黎巴嫩現有的三片杉樹中,北部座落在黎巴嫩山頂峰山腰附近的一片最為有名,約有二十棵樹齡超過4000年,其中一棵杉樹則成為黎巴嫩貨幣上的代表性圖案。
黎巴嫩鎊是黎巴嫩流通貨幣,硬幣面值為100、250和500皮阿斯特,紙幣面值為100、250、500、1000、5000、10000、50000和100000。美元也是流通貨幣。
1LBP=100 piastres(皮阿斯特)
